Datasheet ADXL213 (Analog Devices) - 7

FabricanteAnalog Devices
DescripciónLow Cost ±1.2g Dual Axis Accelerometer
Páginas / Página13 / 7 — ADXL213. 54.0. 31.50. 53.5. 31.25. 53.0. 31.00. 52.5. 52.0. 30.75. 51.5. …
RevisiónA
Formato / tamaño de archivoPDF / 218 Kb
Idioma del documentoInglés

ADXL213. 54.0. 31.50. 53.5. 31.25. 53.0. 31.00. 52.5. 52.0. 30.75. 51.5. ) 30.50. 51.0. (%). 50.5. 30.25. CLE. 50.0. 30.00. 49.5. 29.75. 49.0. SITIVITY (. DUTY. 29.50

ADXL213 54.0 31.50 53.5 31.25 53.0 31.00 52.5 52.0 30.75 51.5 ) 30.50 51.0 (%) 50.5 30.25 CLE 50.0 30.00 49.5 29.75 49.0 SITIVITY ( DUTY 29.50

Línea de modelo para esta hoja de datos

Versión de texto del documento

ADXL213 54.0 31.50 53.5 31.25 53.0 31.00 52.5 52.0 30.75 51.5 ) 30.50 51.0 /g (%) % 50.5 30.25 CLE 50.0 30.00 CY 49.5 29.75 49.0 SITIVITY ( DUTY 29.50 48.5 SEN 48.0 29.25 47.5 29.00 47.0 28.75 46.5 46.0
04742-0-008
28.50
04742-0-010
0 10 20 30 40 50 60 70 80 90 0 10 20 30 40 50 60 70 80 90 –40 –30 –20 –10 –50 –40 –30 –20 –10 TEMPERATURE (°C) TEMPERATURE (°C)
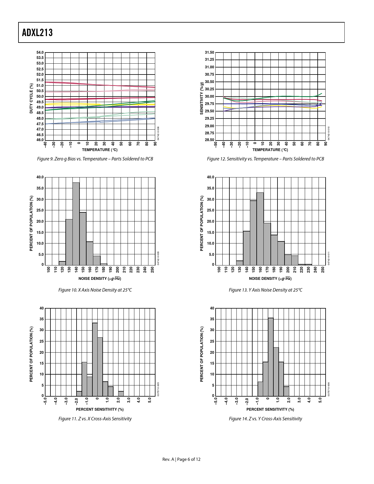
Figure 9. Zero g Bias vs. Temperature – Parts Soldered to PCB Figure 12. Sensitivity vs. Temperature – Parts Soldered to PCB
40.0 40.0 35.0 35.0 ) ) % % ( 30.0 ( 30.0 TION 25.0 TION 25.0 LA LA 20.0 20.0 OF POPU 15.0 OF POPU 15.0 T T N N E E C 10.0 C 10.0 PER PER 5.0 5.0 0
04742-0-009
0
04742-0-011
100 110 120 130 140 150 160 170 180 190 200 210 220 230 240 250 100 110 120 130 140 150 160 170 180 190 200 210 220 230 240 250 NOISE DENSITY (
μ
g

Hz) NOISE DENSITY (
μ
g

Hz)
Figure 10. X Axis Noise Density at 25°C Figure 13. Y Axis Noise Density at 25°C
40 40 35 35 ) ) % 30 % 30 ( ( TION 25 TION 25 LA LA 20 20 OF POPU 15 OF POPU 15 T T N N E E C 10 C 10 PER PER 5 5 0
03757-0-005
0
03757-0-006
.0 0 0 1.0 2.0 3.0 4.0 5.0 .0 1.0 2.0 3.0 4.0 5.0 –5.0 –4.0 –3.0 –2 –1.0 –5.0 –4.0 –3.0 –2 –1.0 PERCENT SENSITIVITY (%) PERCENT SENSITIVITY (%)
Figure 11. Z vs. X Cross-Axis Sensitivity Figure 14. Z vs. Y Cross-Axis Sensitivity Rev. A | Page 6 of 12 Document Outline REVISION HISTORY SPECIFICATIONS ABSOLUTE MAXIMUM RATINGS TYPICAL PERFORMANCE CHARACTERISTICS THEORY OF OPERATION PERFORMANCE APPLICATIONS POWER SUPPLY DECOUPLING SETTING THE BANDWIDTH USING CX AND CY SELF TEST DESIGN TRADE-OFFS FOR SELECTING FILTER CHARACTERISTICS: THE NOISE/BW TRADE-OFF USING THE ADXL213 WITH OPERATING VOLTAGES OTHER THAN 5 V USING THE ADXL213 AS A DUAL-AXIS TILT SENSOR Dual-Axis Tilt Sensor: Converting Acceleration to Tilt PIN CONFIGURATIONS AND FUNCTIONAL DESCRIPTIONS OUTLINE DIMENSIONS ESD CAUTION ORDERING GUIDE AUTOMOTIVE PRODUCTS