Datasheet ADL5310 (Analog Devices) - 9

FabricanteAnalog Devices
Descripción120 dB RANGE (3 nA TO 3 mA) Dual Logarithmic Converter
Páginas / Página20 / 9 — Data Sheet. ADL5310. MEAN + 3. DRIFT (mV). MEAN – 3. REFV. INPT. –10. …
RevisiónB
Formato / tamaño de archivoPDF / 577 Kb
Idioma del documentoInglés

Data Sheet. ADL5310. MEAN + 3. DRIFT (mV). MEAN – 3. REFV. INPT. –10. –15. –20. –25. –40 –30 –20 –10. TEMPERATURE (°C). DRIFT (mV/dec). 200. 150. 100

Data Sheet ADL5310 MEAN + 3 DRIFT (mV) MEAN – 3 REFV INPT –10 –15 –20 –25 –40 –30 –20 –10 TEMPERATURE (°C) DRIFT (mV/dec) 200 150 100

Línea de modelo para esta hoja de datos

Versión de texto del documento

Data Sheet ADL5310 25 5 20 4 15 3 2 10 MEAN + 3
σ
1 MEAN + 3
σ
5 0 0 DRIFT (mV) –1 DRIFT (mV) MEAN – 3
σ
–5 REFV INPT –2 MEAN – 3
σ
V –10 –3 –15 –4 –20 –5 –25 –6 –40 –30 –20 –10 0 10 20 30 40 50 60 70 80 90 –40 –30 –20 –10 0 10 20 30 40 50 60 70 80 90 TEMPERATURE (°C) TEMPERATURE (°C)
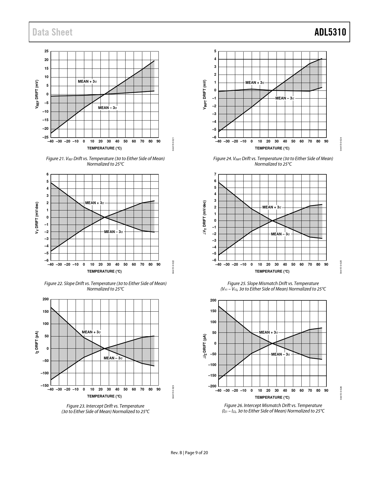
04415-0-021 04415-0-024 Figure 21. VREF Drift vs. Temperature (3σ to Either Side of Mean) Figure 24. VINPT Drift vs. Temperature (3σ to Either Side of Mean) Normalized to 25°C Normalized to 25°C
6 7 5 6 4 5 4 3 3 2 MEAN + 3
σ
2 MEAN + 3
σ
1 1 0 0 –1 DRIFT (mV/dec) DRIFT (mV/dec) –1 Y Y –2 V MEAN – 3
σ ∆
V –2 MEAN – 3
σ
–3 –3 –4 –4 –5 –5 –6 –6 –40 –30 –20 –10 0 10 20 30 40 50 60 70 80 90 –40 –30 –20 –10 0 10 20 30 40 50 60 70 80 90 TEMPERATURE (°C) TEMPERATURE (°C)
04415-0-022 04415-0-025 Figure 22. Slope Drift vs. Temperature (3σ to Either Side of Mean) Figure 25. Slope Mismatch Drift vs. Temperature Normalized to 25°C (VY1 – VY2, 3σ to Either Side of Mean) Normalized to 25°C
200 200 150 150 100 100 MEAN + 3
σ
50 MEAN + 3
σ
50 0 0 DRIFT (pA) I Z DRIFT (pA) –50 MEAN – 3
σ
MEAN – 3
σ ∆
I Z –50 –100 –100 –150 –150 –200 –40 –30 –20 –10 0 10 20 30 40 50 60 70 80 90 –40 –30 –20 –10 0 10 20 30 40 50 60 70 80 90 TEMPERATURE (°C)
04415-0-023
TEMPERATURE (°C)
04415-0-026 Figure 23. Intercept Drift vs. Temperature Figure 26. Intercept Mismatch Drift vs. Temperature (3σ to Either Side of Mean) Normalized to 25°C (IZ1 – IZ2, 3σ to Either Side of Mean) Normalized to 25°C Rev. B | Page 9 of 20 Document Outline FEATURES APPLICATIONS FUNCTIONAL BLOCK DIAGRAM GENERAL DESCRIPTION TABLE OF CONTENTS REVISION HISTORY SPECIFICATIONS ABSOLUTE MAXIMUM RATINGS ESD CAUTION PIN CONFIGURATION AND FUNCTION DESCRIPTIONS TYPICAL PERFORMANCE CHARACTERISTICS GENERAL STRUCTURE THEORY MANAGING INTERCEPT AND SLOPE RESPONSE TIME AND NOISE CONSIDERATIONS APPLICATIONS INFORMATION CALIBRATION MINIMIZING CROSSTALK RELATIVE AND ABSOLUTE POWER MEASUREMENTS CHARACTERIZATION METHODS EVALUATION BOARD OUTLINE DIMENSIONS ORDERING GUIDE