Datasheet MIC863 (Microchip) - 7
| Fabricante | Microchip |
| Descripción | The MIC863 is a dual low power operational amplifier in SOT23-8 package |
| Páginas / Página | 17 / 7 — Micrel, Inc. MIC863 Typical Characteristics (Continued) |
| Formato / tamaño de archivo | PDF / 2.7 Mb |
| Idioma del documento | Inglés |
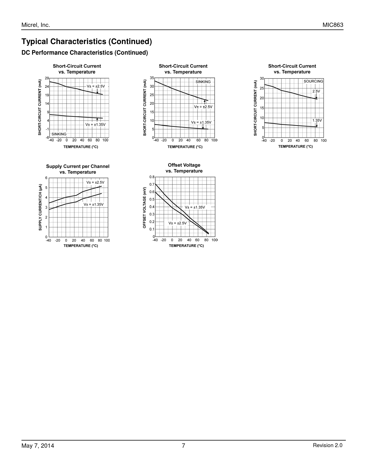
Micrel, Inc. MIC863 Typical Characteristics (Continued)

Línea de modelo para esta hoja de datos
Versión de texto del documento
Micrel, Inc. MIC863 Typical Characteristics (Continued)
DC Performance Characteristics (Continued) May 7, 2014 7 Revision 2.0