Datasheet AD8597, AD8599 (Analog Devices) - 9
| Fabricante | Analog Devices |
| Descripción | Ultralow Distortion, Ultralow Noise Op Amp (single) |
| Páginas / Página | 20 / 9 — Data Sheet. AD8597/AD8599. AD8599. VSY = ±5V. VSY = ±15V. ISINK. mA). … |
| Revisión | F |
| Formato / tamaño de archivo | PDF / 721 Kb |
| Idioma del documento | Inglés |
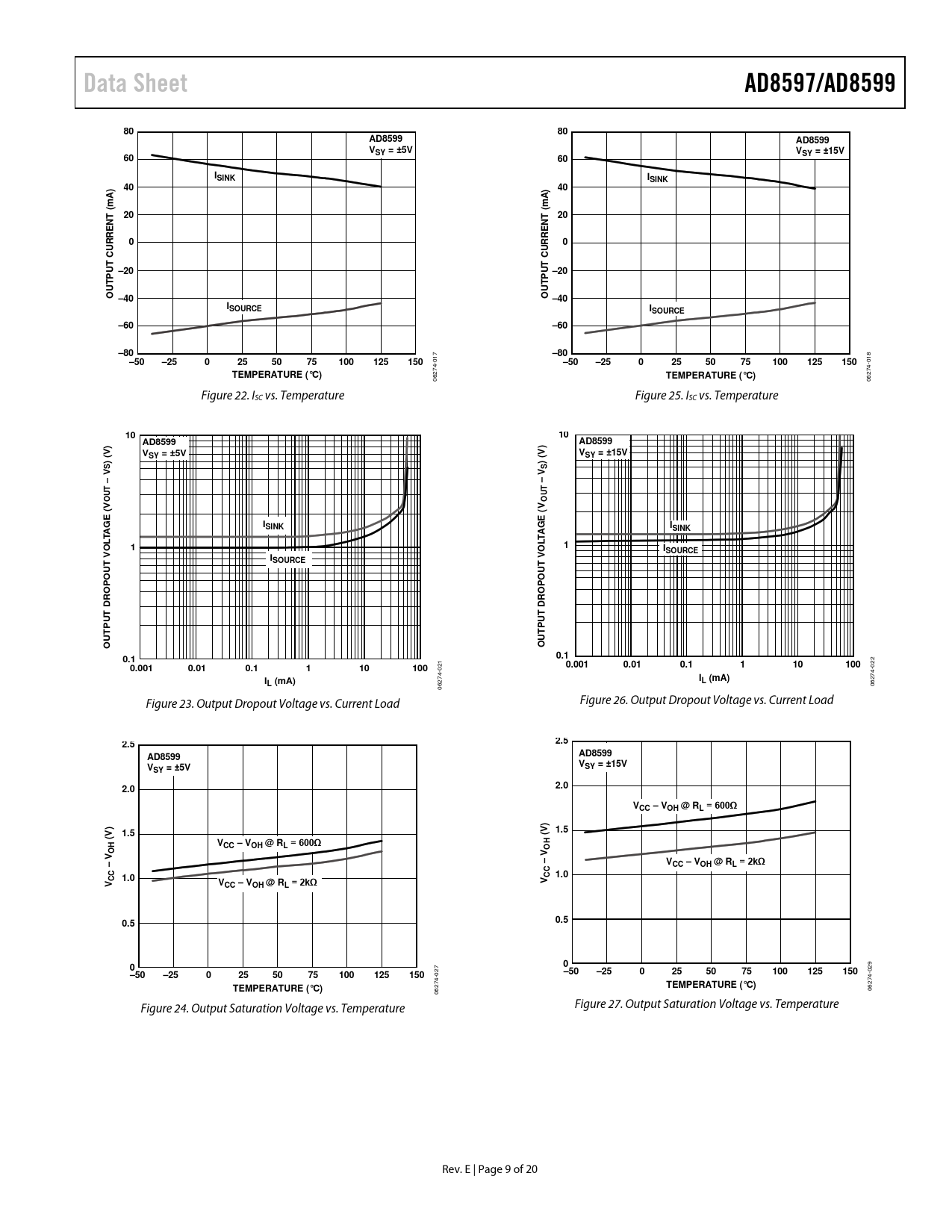
Data Sheet. AD8597/AD8599. AD8599. VSY = ±5V. VSY = ±15V. ISINK. mA). CURRE. UT –20. O –40. ISOURCE. –60. –80. –50. –25. 100. 125. 150. TEMPERATURE (°C)

Versión de texto del documento
Data Sheet AD8597/AD8599 80 80 AD8599 AD8599 VSY = ±5V VSY = ±15V 60 60 ISINK ISINK 40 40 mA) mA) ( ( 20 20 NT NT 0 0 CURRE CURRE UT –20 UT –20 P P UT UT O –40 O –40 ISOURCE ISOURCE –60 –60 –80 –80 –50 –25 0 25 50 75 100 125 150
017
–50 –25 0 25 50 75 100 125 150
018
TEMPERATURE (°C) TEMPERATURE (°C)
06274- 06274- Figure 22. ISC vs. Temperature Figure 25. ISC vs. Temperature
10 10 AD8599 AD8599 VSY = ±5V VSY = ±15V ) (V) ) (V) S S – V – V UT UT O O E (V E (V G ISINK G I A A SINK LT LT O 1 1 O ISOURCE I T V SOURCE T V OU OU OP OP R R T D T D U U TP TP OU OU 0.1 0.1 0.001 0.01 0.1 1 10 100 0.001 0.01 0.1 1 10 100
022 021
I I L (mA) L (mA)
06274- 06274- Figure 23. Output Dropout Voltage vs. Current Load Figure 26. Output Dropout Voltage vs. Current Load
2.5 2.5 AD8599 AD8599 V VSY = ±15V SY = ±5V 2.0 2.0 VCC – VOH @ RL = 600Ω 1.5 1.5 (V) (V) VCC – VOH @ RL = 600Ω OH OH V – V – V CC – VOH @ RL = 2kΩ CC 1.0 CC 1.0 V V V CC – VOH @ RL = 2kΩ 0.5 0.5 0 0
029
–50 –25 0 25 50 75 100 125 150
027
–50 –25 0 25 50 75 100 125 150 TEMPERATURE (°C) TEMPERATURE (°C)
06274- 06274- Figure 24. Output Saturation Voltage vs. Temperature Figure 27. Output Saturation Voltage vs. Temperature Rev. E | Page 9 of 20 Document Outline Features Applications Pin Configurations General Description Table of Contents Revision History Specifications Absolute Maximum Ratings Thermal Resistance Power Sequencing ESD Caution Typical Performance Characteristics Functional Operation Input Voltage Range Output Phase Reversal Noise and Source Impedance Considerations Outline Dimensions Ordering Guide