Datasheet AD8682, AD8684 (Analog Devices) - 6

FabricanteAnalog Devices
DescripciónDual/Quad Low Power, High Speed JFET Operational Amplifiers
Páginas / Página16 / 6 — AD8682/AD8684. 1000. VS = ±15V. TA = 25°C. RL = 10kΩ. VOH. √Hz. V (. (n …
RevisiónB
Formato / tamaño de archivoPDF / 374 Kb
Idioma del documentoInglés

AD8682/AD8684. 1000. VS = ±15V. TA = 25°C. RL = 10kΩ. VOH. √Hz. V (. (n Y. 100. ING W. ENSI. ISE D. LTAG. O V. E N. P –10. LTA. –15. –20. 10k. ±10. ±15. ±20

AD8682/AD8684 1000 VS = ±15V TA = 25°C RL = 10kΩ VOH √Hz V ( (n Y 100 ING W ENSI ISE D LTAG O V E N P –10 LTA –15 –20 10k ±10 ±15 ±20

Línea de modelo para esta hoja de datos

Versión de texto del documento

AD8682/AD8684 1000 20 VS = ±15V TA = 25°C TA = 25°C RL = 10kΩ ) 15 VOH √Hz ) V/ V ( 10 (n Y 100 T ING W 5 S ENSI E 0 ISE D LTAG O O V –5 E N 10 UT G P –10 LTA UT O O V V OL –15 1 –20 10 100 1k 10k
009
0 ±5 ±10 ±15 ±20
012 78-
FREQUENCY (Hz)
278-
SUPPLY VOLTAGE (V)
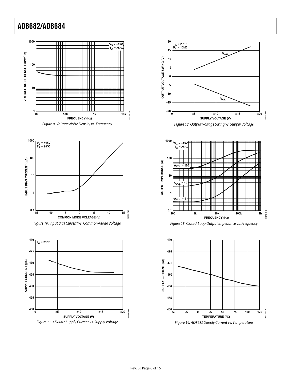
06 062 Figure 9. Voltage Noise Density vs. Frequency Figure 12. Output Voltage Swing vs. Supply Voltage
1000 1000 VS = ±15V VS = ±15V TA = 25°C TA = 25°C ) A 100 100 p ) ( Ω ( NT A CE VCL = 100 RE 10 DAN E 10 CUR P M IAS I AVCL = 10 B UT T P U 1 UT 1 INP O AVCL = 1 0.1 0.1 –15 –10 –5 0 5 10 15
010
100 1k 10k 100k 1M
013 78- 78-
COMMON-MODE VOLTAGE (V) FREQUENCY (Hz)
062 062 Figure 10. Input Bias Current vs. Common-Mode Voltage Figure 13. Closed-Loop Output Impedance vs. Frequency
480 480 TA = 25°C 475 475 ) ) A A 470 µ 470 ( T T N EN R R 465 RRE 465 CU CU LY LY P PP 460 P 460 U SU S 455 455 450 450 0 ±5 ±10 ±15 ±20
11 14 0
–50 –25 0 25 50 75 100 125
0 8- 8-
SUPPLY VOLTAGE (V) TEMPERATURE (°C)
0627 0627 Figure 11. AD8682 Supply Current vs. Supply Voltage Figure 14. AD8682 Supply Current vs. Temperature Rev. B | Page 6 of 16 Document Outline FEATURES APPLICATIONS GENERAL DESCRIPTION TABLE OF CONTENTS REVISION HISTORY SPECIFICATIONS ELECTRICAL CHARACTERISTICS ABSOLUTE MAXIMUM RATINGS THERMAL RESISTANCE ESD CAUTION TYPICAL PERFORMANCE CHARACTERISTICS APPLICATIONS INFORMATION HIGH-SIDE SIGNAL CONDITIONING PHASE INVERSION ACTIVE FILTERS PROGRAMMABLE STATE VARIABLE FILTER OUTLINE DIMENSIONS ORDERING GUIDE