Datasheet AD8641, AD8642, AD8643 (Analog Devices) - 9
| Fabricante | Analog Devices |
| Descripción | Low Power, Rail-to-Rail Output, Precision JFET Amplifiers |
| Páginas / Página | 15 / 9 — Data Sheet. AD8641/AD8642/AD8643. 315. 140. VSY =. 13V. SY = 5V. 270. … |
| Revisión | F |
| Formato / tamaño de archivo | PDF / 323 Kb |
| Idioma del documento | Inglés |
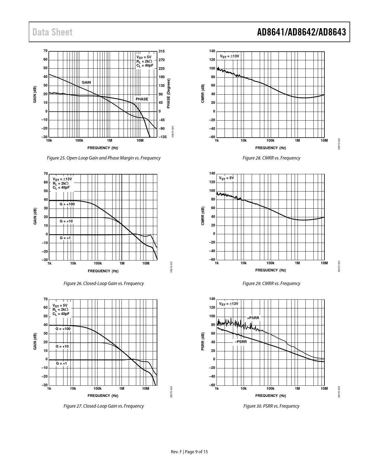
Data Sheet. AD8641/AD8642/AD8643. 315. 140. VSY =. 13V. SY = 5V. 270. 120. RL = 2k. L = 40pF. 225. 100. 180. GAIN. 135. PHASE. GAIN (dB). CMRR (dB)

Línea de modelo para esta hoja de datos
Versión de texto del documento
Data Sheet AD8641/AD8642/AD8643 70 315 140 V VSY =
±
13V 60 SY = 5V 270 120 RL = 2k
Ω
C 50 L = 40pF 225 100 40 180 80 GAIN 30 135 60 20 90 40 PHASE GAIN (dB) 10 45 CMRR (dB) 20 PHASE (Degrees) 0 0 0 –10 –45 –20 –20 –90 –40 –30 –135
05072-020
–60 10k 100k 1M 10M 1k 10k 100k 1M 10M FREQUENCY (Hz) FREQUENCY (Hz)
05072-023 Figure 25. Open-Loop Gain and Phase Margin vs. Frequency Figure 28. CMRR vs. Frequency
70 140 V V SY =
±
13V SY = 5V 60 R 120 L = 2k
Ω
CL = 40pF 50 100 40 80 G = +100 30 60 20 40 G = +10 GAIN (dB) 10 CMRR (dB) 20 0 0 G = +1 –10 –20 –20 –40 –30 –60 1k 10k 100k 1M 10M 1k 10k 100k 1M 10M FREQUENCY (Hz) FREQUENCY (Hz)
05072-021 05072-024 Figure 26. Closed-Loop Gain vs. Frequency Figure 29. CMRR vs. Frequency
70 140 V V SY =
±
13V 60 SY = 5V 120 RL = 2k
Ω
C 50 L = 40pF 100 +PSRR 40 80 G = +100 30 60 (dB) 20 40 –PSRR G = +10 GAIN (dB) 10 PSRR 20 0 0 G = +1 –10 –20 –20 –40 –30 –60 1k 10k 100k 1M 10M 1k 10k 100k 1M 10M FREQUENCY (Hz)
05072-022
FREQUENCY (Hz)
05072-025 Figure 27. Closed-Loop Gain vs. Frequency Figure 30. PSRR vs. Frequency Rev. F | Page 9 of 15 Document Outline FEATURES APPLICATIONS GENERAL DESCRIPTION PIN CONFIGURATIONS TABLE OF CONTENTS REVISION HISTORY SPECIFICATIONS ELECTRICAL CHARACTERISTICS ABSOLUTE MAXIMUM RATINGS THERMAL RESISTANCE ESD CAUTION TYPICAL PERFORMANCE CHARACTERISTICS OUTLINE DIMENSIONS ORDERING GUIDE