Datasheet OP162, OP262, OP462 (Analog Devices) - 8
| Fabricante | Analog Devices |
| Descripción | 15 MHz Rail-to-Rail Operational Amplifiers |
| Páginas / Página | 20 / 8 — OP162/OP262/OP462. Data Sheet. 5.12. 100. VS = 5V. 5.06. IOUT = 250. … |
| Revisión | H |
| Formato / tamaño de archivo | PDF / 476 Kb |
| Idioma del documento | Inglés |
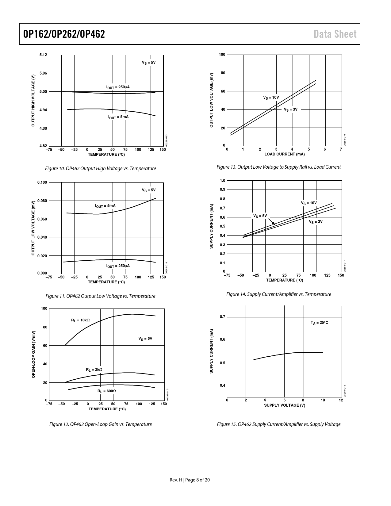
OP162/OP262/OP462. Data Sheet. 5.12. 100. VS = 5V. 5.06. IOUT = 250. 5.00. VS = 10V. 4.94. VS = 3V. IOUT = 5mA. OUTPUT HIGH VOLTAGE (V)

Línea de modelo para esta hoja de datos
Versión de texto del documento
OP162/OP262/OP462 Data Sheet 5.12 100 VS = 5V 5.06 80 IOUT = 250
µ
A 5.00 60 VS = 10V 4.94 40 VS = 3V IOUT = 5mA OUTPUT HIGH VOLTAGE (V) OUTPUT LOW VOLTAGE (mV) 4.88 20 4.82
00288-013
0
00288-016
–75 –50 –25 0 25 50 75 100 125 150 0 1 2 3 4 5 6 7 TEMPERATURE (
°
C) LOAD CURRENT (mA)
Figure 10. OP462 Output High Voltage vs. Temperature Figure 13. Output Low Voltage to Supply Rail vs. Load Current
1.0 0.100 VS = 5V 0.9 0.8 0.080 V I S = 10V OUT = 5mA 0.7 0.6 VS = 5V 0.060 VS = 3V 0.5 0.4 0.040 0.3 SUPPLY CURRENT (mA) OUTPUT LOW VOLTAGE (mV) 0.2 0.020 0.1 IOUT = 250
µ
A 0
00288-017
0.000
00288-014
–75 –50 –25 0 25 75 100 125 150 –75 –50 –25 0 25 50 75 100 125 150 TEMPERATURE (
°
C) TEMPERATURE (
°
C)
Figure 11. OP462 Output Low Voltage vs. Temperature Figure 14. Supply Current/Amplifier vs. Temperature
100 0.7 RL = 10k
Ω
TA = 25
°
C 80 V) m VS = 5V 0.6 (V/ IN 60 A P G O O 40 0.5 -L RL = 2k
Ω
PEN SUPPLY CURRENT (mA) O 20 0.4 RL = 600
Ω 015 00288-018
0
00288-
0 2 4 6 8 10 12 –75 –50 –25 0 25 50 75 100 125 150 SUPPLY VOLTAGE (V) TEMPERATURE (
°
C)
Figure 12. OP462 Open-Loop Gain vs. Temperature Figure 15. OP462 Supply Current/Amplifier vs. Supply Voltage Rev. H | Page 8 of 20 Document Outline Features Applications General Description Pin Configurations Revision History Specifications Absolute Maximum Ratings ESD Caution Typical Performance Characteristics Applications Functional Description Offset Adjustment Rail-to-Rail Output Output Short-Circuit Protection Input Overvoltage Protection Output Phase Reversal Power Dissipation Unused Amplifiers Power-On Settling Time Capacitive Load Drive Total Harmonic Distortion and Crosstalk PCB Layout Considerations Applications Circuits Single-Supply Stereo Headphone Driver Instrumentation Amplifier Direct Access Arrangement Outline Dimensions Ordering Guide