Datasheet SSM2135 (Analog Devices) - 10

FabricanteAnalog Devices
DescripciónDual Single-Supply Audio Operational Amplifier
Páginas / Página17 / 10 — SSM2135. VS = 5V. VOUT = 3.9V. /µV. L = 2kΩ. VS = ±18V. VS = ±15V. IN 12. …
RevisiónG
Formato / tamaño de archivoPDF / 328 Kb
Idioma del documentoInglés

SSM2135. VS = 5V. VOUT = 3.9V. /µV. L = 2kΩ. VS = ±18V. VS = ±15V. IN 12. GA 10. RL = 600Ω. VS = +5V. OOP. CURR. –75. –50. –25. 100. 125. TEMPERATURE (°C)

SSM2135 VS = 5V VOUT = 3.9V /µV L = 2kΩ VS = ±18V VS = ±15V IN 12 GA 10 RL = 600Ω VS = +5V OOP CURR –75 –50 –25 100 125 TEMPERATURE (°C)

Línea de modelo para esta hoja de datos

Versión de texto del documento

SSM2135 20 5 VS = 5V 18 VOUT = 3.9V 16 4 ) 14 A) /µV R V L = 2kΩ VS = ±18V ( (m VS = ±15V IN 12 NT 3 E GA 10 RL = 600Ω VS = +5V OOP CURR 8 Y -L 2 L N P E 6 UP OP S 4 1 2 0 0 –75 –50 –25 0 25 50 75 100 125
27 29 0
–75 –50 –25 0 25 50 75 100 125
0 9- 9-
TEMPERATURE (°C)
34
TEMPERATURE (°C)
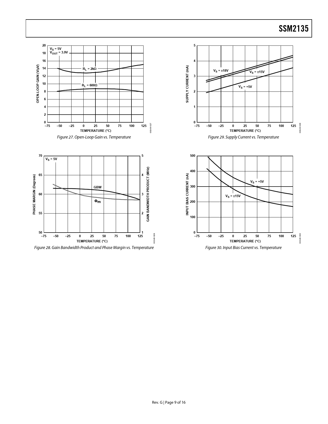
34 00 00 Figure 27. Open-Loop Gain vs. Temperature Figure 29. Supply Current vs. Temperature
70 5 500 VS = 5V ) Hz 400 ) 65 4 (M A) n rees ( VS = +5V eg DUCT NT 300 (D GBW RO IN 60 3 H P CURRE VS = ±15V ARG IDT AS M Φm W 200 E BI UT HAS P 55 2 N BAND INP AI 100 G 50 1 0 –75 –50 –25 0 25 50 75 100 125
28 30 0
–75 –50 –25 0 25 50 75 100 125
0 9- 9-
TEMPERATURE (°C)
34
TEMPERATURE (°C)
34 00 00 Figure 28. Gain Bandwidth Product and Phase Margin vs. Temperature Figure 30. Input Bias Current vs. Temperature Rev. G | Page 9 of 16 Document Outline FEATURES APPLICATIONS PIN CONNECTIONS GENERAL DESCRIPTION FUNCTIONAL BLOCK DIAGRAM TABLE OF CONTENTS REVISION HISTORY SPECIFICATIONS ABSOLUTE MAXIMUM RATINGS THERMAL RESISTANCE ESD CAUTION TYPICAL PERFORMANCE CHARACTERISTICS APPLICATIONS INFORMATION APPLICATION CIRCUITS Low Noise Stereo Headphone Driver Amplifier Low Noise Microphone Preamplifier Single Supply Differential Line Driver Single-Supply Differential Line Receiver Pseudoreference Voltage Generator Digital Volume Control Circuit Logarithmic Volume Control Circuit OUTLINE DIMENSIONS ORDERING GUIDE