Datasheet AD7949 (Analog Devices) - 9

FabricanteAnalog Devices
Descripción14-Bit, 8-Channel, 250 kSPS PulSAR ADC
Páginas / Página32 / 9 — Data Sheet. AD7949. PIN CONFIGURATION AND FUNCTION DESCRIPTIONS. 71 1. …
RevisiónF
Formato / tamaño de archivoPDF / 767 Kb
Idioma del documentoInglés

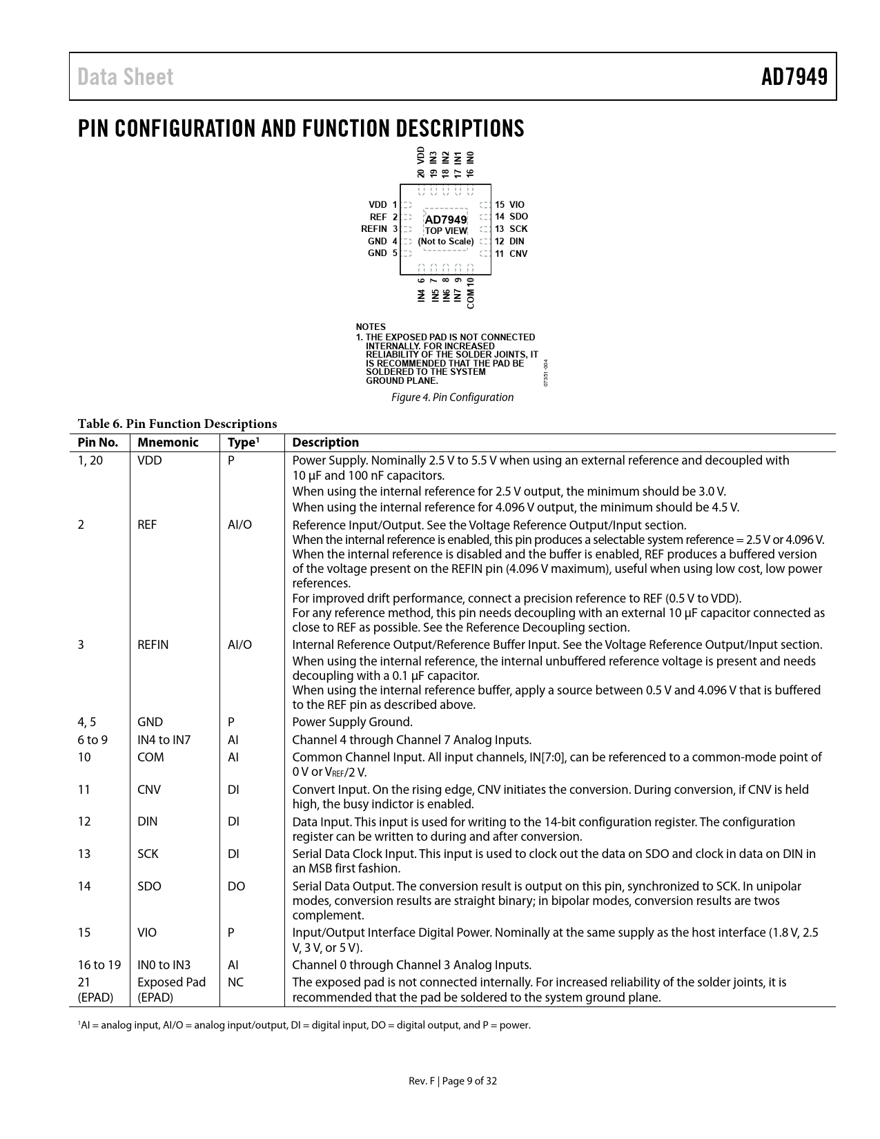
Data Sheet. AD7949. PIN CONFIGURATION AND FUNCTION DESCRIPTIONS. 71 1. VDD 1. 15 VIO. REF 2. 14 SDO. REFIN 3. TOP VIEW. SCK. GND 4

Data Sheet AD7949 PIN CONFIGURATION AND FUNCTION DESCRIPTIONS 71 1 VDD 1 15 VIO REF 2 14 SDO REFIN 3 TOP VIEW SCK GND 4

Línea de modelo para esta hoja de datos

Versión de texto del documento

link to page 19 link to page 20 link to page 19
Data Sheet AD7949 PIN CONFIGURATION AND FUNCTION DESCRIPTIONS D 3 2 D 1 0 N N V I I NI NI 0 9 2 1 8 6 1 71 1 VDD 1 15 VIO REF 2 14 SDO AD7949 REFIN 3 13 TOP VIEW SCK GND 4 (Not to Scale) 12 DIN GND 5 11 CNV 6 7 8 9 01 4 5 6 7 N M I NI NI NI O C NOTES 1. THE EXPOSED PAD IS NOT CONNECTED INTERNALLY. FOR INCREASED RELIABILITY OF THE SOLDER JOINTS, IT IS RECOMMENDED THAT THE PAD BE SOLDERED TO THE SYSTEM
004 1-
GROUND PLANE.
735 0 Figure 4. Pin Configuration
Table 6. Pin Function Descriptions Pin No. Mnemonic Type1 Description
1, 20 VDD P Power Supply. Nominally 2.5 V to 5.5 V when using an external reference and decoupled with 10 μF and 100 nF capacitors. When using the internal reference for 2.5 V output, the minimum should be 3.0 V. When using the internal reference for 4.096 V output, the minimum should be 4.5 V. 2 REF AI/O Reference Input/Output. See the Voltage Reference Output/Input section. When the internal reference is enabled, this pin produces a selectable system reference = 2.5 V or 4.096 V. When the internal reference is disabled and the buffer is enabled, REF produces a buffered version of the voltage present on the REFIN pin (4.096 V maximum), useful when using low cost, low power references. For improved drift performance, connect a precision reference to REF (0.5 V to VDD). For any reference method, this pin needs decoupling with an external 10 μF capacitor connected as close to REF as possible. See the Reference Decoupling section. 3 REFIN AI/O Internal Reference Output/Reference Buffer Input. See the Voltage Reference Output/Input section. When using the internal reference, the internal unbuffered reference voltage is present and needs decoupling with a 0.1 μF capacitor. When using the internal reference buffer, apply a source between 0.5 V and 4.096 V that is buffered to the REF pin as described above. 4, 5 GND P Power Supply Ground. 6 to 9 IN4 to IN7 AI Channel 4 through Channel 7 Analog Inputs. 10 COM AI Common Channel Input. All input channels, IN[7:0], can be referenced to a common-mode point of 0 V or VREF/2 V. 11 CNV DI Convert Input. On the rising edge, CNV initiates the conversion. During conversion, if CNV is held high, the busy indictor is enabled. 12 DIN DI Data Input. This input is used for writing to the 14-bit configuration register. The configuration register can be written to during and after conversion. 13 SCK DI Serial Data Clock Input. This input is used to clock out the data on SDO and clock in data on DIN in an MSB first fashion. 14 SDO DO Serial Data Output. The conversion result is output on this pin, synchronized to SCK. In unipolar modes, conversion results are straight binary; in bipolar modes, conversion results are twos complement. 15 VIO P Input/Output Interface Digital Power. Nominally at the same supply as the host interface (1.8 V, 2.5 V, 3 V, or 5 V). 16 to 19 IN0 to IN3 AI Channel 0 through Channel 3 Analog Inputs. 21 Exposed Pad NC The exposed pad is not connected internally. For increased reliability of the solder joints, it is (EPAD) (EPAD) recommended that the pad be soldered to the system ground plane. 1AI = analog input, AI/O = analog input/output, DI = digital input, DO = digital output, and P = power. Rev. F | Page 9 of 32 Document Outline FEATURES APPLICATIONS FUNCTIONAL BLOCK DIAGRAM GENERAL DESCRIPTION REVISION HISTORY SPECIFICATIONS TIMING SPECIFICATIONS ABSOLUTE MAXIMUM RATINGS ESD CAUTION PIN CONFIGURATION AND FUNCTION DESCRIPTIONS TYPICAL PERFORMANCE CHARACTERISTICS TERMINOLOGY THEORY OF OPERATION OVERVIEW CONVERTER OPERATION TRANSFER FUNCTIONS TYPICAL CONNECTION DIAGRAMS Unipolar or Bipolar Bipolar Single Supply ANALOG INPUTS Input Structure Selectable Low-Pass Filter Input Configurations Sequencer Source Resistance DRIVER AMPLIFIER CHOICE VOLTAGE REFERENCE OUTPUT/INPUT Internal Reference/Temperature Sensor External Reference and Internal Buffer External Reference Reference Decoupling POWER SUPPLY SUPPLYING THE ADC FROM THE REFERENCE DIGITAL INTERFACE READING/WRITING DURING CONVERSION, FAST HOSTS READING/WRITING AFTER CONVERSION, ANY SPEED HOSTS READING/WRITING SPANNING CONVERSION, ANY SPEED HOST CONFIGURATION REGISTER, CFG GENERAL TIMING WITHOUT A BUSY INDICATOR GENERAL TIMING WITH A BUSY INDICATOR CHANNEL SEQUENCER Examples READ/WRITE SPANNING CONVERSION WITHOUT A BUSY INDICATOR READ/WRITE SPANNING CONVERSION WITH A BUSY INDICATOR APPLICATION HINTS LAYOUT EVALUATING AD7949 PERFORMANCE OUTLINE DIMENSIONS ORDERING GUIDE