Datasheet AD8557 (Analog Devices) - 7

FabricanteAnalog Devices
DescripciónDigitally Programmable Sensor Signal Amplifier
Páginas / Página25 / 7 — AD8557. Data Sheet. PIN CONFIGURATIONS AND FUNCTION DESCRIPTIONS. D D. …
RevisiónD
Formato / tamaño de archivoPDF / 559 Kb
Idioma del documentoInglés

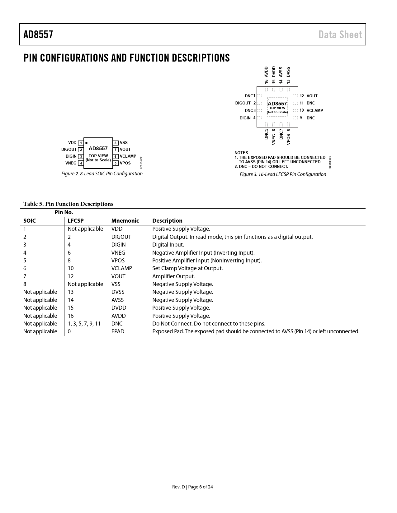
AD8557. Data Sheet. PIN CONFIGURATIONS AND FUNCTION DESCRIPTIONS. D D. VSS. DNC1. 12 VOUT. DIGOUT 2. 11 DNC. TOP VIEW. DNC3. 10 VCLAMP

AD8557 Data Sheet PIN CONFIGURATIONS AND FUNCTION DESCRIPTIONS D D VSS DNC1 12 VOUT DIGOUT 2 11 DNC TOP VIEW DNC3 10 VCLAMP

Línea de modelo para esta hoja de datos

AD8557

Versión de texto del documento

AD8557 Data Sheet PIN CONFIGURATIONS AND FUNCTION DESCRIPTIONS D D DD VSS VSS AV DV A D 61 51 41 31 DNC1 12 VOUT DIGOUT 2 AD8557 11 DNC TOP VIEW DNC3 10 VCLAMP (Not to Scale) DIGIN 4 9 DNC 5 6 7 8 S DNC EG DNC VDD 1 8 VSS VN VPO DIGOUT 2 AD8557 7 VOUT NOTES DIGIN 3 TOP VIEW 6 VCLAMP 1. THE EXPOSED PAD SHOULD BE CONNECTED (Not to Scale)
03 0
VNEG
-002
4 5 VPOS TO AVSS (PIN 14) OR LEFT UNCONNECTED.
13- 013
2. DNC = DO NOT CONNECT.
06 060 Figure 2. 8-Lead SOIC Pin Configuration Figure 3. 16-Lead LFCSP Pin Configuration
Table 5. Pin Function Descriptions Pin No. M SOIC LFCSP nemonic Description
1 Not applicable VDD Positive Supply Voltage. 2 2 DIGOUT Digital Output. In read mode, this pin functions as a digital output. 3 4 DIGIN Digital Input. 4 6 VNEG Negative Amplifier Input (Inverting Input). 5 8 VPOS Positive Amplifier Input (Noninverting Input). 6 10 VCLAMP Set Clamp Voltage at Output. 7 12 VOUT Amplifier Output. 8 Not applicable VSS Negative Supply Voltage. Not applicable 13 DVSS Negative Supply Voltage. Not applicable 14 AVSS Negative Supply Voltage. Not applicable 15 DVDD Positive Supply Voltage. Not applicable 16 AVDD Positive Supply Voltage. Not applicable 1, 3, 5, 7, 9, 11 DNC Do Not Connect. Do not connect to these pins. Not applicable 0 EPAD Exposed Pad. The exposed pad should be connected to AVSS (Pin 14) or left unconnected. Rev. D | Page 6 of 24 Document Outline FEATURES APPLICATIONS FUNCTIONAL BLOCK DIAGRAM GENERAL DESCRIPTION TABLE OF CONTENTS REVISION HISTORY SPECIFICATIONS ABSOLUTE MAXIMUM RATINGS THERMAL RESISTANCE ESD CAUTION PIN CONFIGURATIONS AND FUNCTION DESCRIPTIONS TYPICAL PERFORMANCE CHARACTERISTICS THEORY OF OPERATION GAIN VALUES OPEN WIRE FAULT DETECTION SHORTED WIRE FAULT DETECTION FLOATING VPOS, VNEG, OR VCLAMP FAULT DETECTION DEVICE PROGRAMMING Digital Interface Initial State Simulation Mode Programming Mode Read Mode Sense Current Programming Procedure Determining Optimal Gain and Offset Codes OUTLINE DIMENSIONS ORDERING GUIDE AUTOMOTIVE PRODUCTS