Datasheet AD8314 (Analog Devices) - 7

FabricanteAnalog Devices
DescripciónRF Detector / Controller, 100 MHz TO 2.7 GHz, 45 dB
Páginas / Página21 / 7 — AD8314. TYPICAL PERFORMANCE CHARACTERISTICS. 1.2. 0.1GHz. 1.0. 2.5GHz. …
RevisiónC
Formato / tamaño de archivoPDF / 440 Kb
Idioma del documentoInglés

AD8314. TYPICAL PERFORMANCE CHARACTERISTICS. 1.2. 0.1GHz. 1.0. 2.5GHz. 0.9GHz. 1.9GHz. 0.8. B) d. 0.6. R (. UPV. RRO E. 0.4. 0.2. –75. –65. –55. –45. –35. –25. –15

AD8314 TYPICAL PERFORMANCE CHARACTERISTICS 1.2 0.1GHz 1.0 2.5GHz 0.9GHz 1.9GHz 0.8 B) d 0.6 R ( UPV RRO E 0.4 0.2 –75 –65 –55 –45 –35 –25 –15

Línea de modelo para esta hoja de datos

Versión de texto del documento

AD8314 TYPICAL PERFORMANCE CHARACTERISTICS 1.2 4 0.1GHz 3 1.0 2.5GHz 2 0.9GHz 1.9GHz 0.8 0.1GHz 1 ) 1.9GHz B) d (V 0.6 R ( 0 UPV 2.5GHz RRO E –1 0.4 0.9GHz –2 0.2 –3 0 –4
4 7
–75 –65 –55 –45 –35 –25 –15 –5 –70 –60 –50 –40 –30 –20 –10 0
-00 00 6-
(–52dBm) INPUT AMPLITUDE (dBV) (–2dBm)
086
(–47dBm) INPUT AMPLITUDE (dBV) (+3dBm)
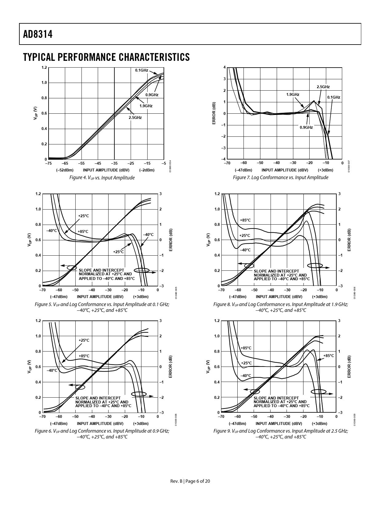
08 01 01 Figure 4. VUP vs. Input Amplitude Figure 7. Log Conformance vs. Input Amplitude
1.2 3 1.2 3 1.0 2 1.0 2 +25°C +85°C 0.8 1 0.8 1 –40°C ) +85°C B) B) d –40°C ) d +25°C (V 0.6 R ( 0 (V 0.6 R ( 0 UP UP V V RRO RRO E +25°C –40°C E 0.4 –1 0.4 –1 0.2 SLOPE AND INTERCEPT –2 0.2 SLOPE AND INTERCEPT –2 NORMALIZED AT +25°C AND NORMALIZED AT +25°C AND APPLIED TO –40°C AND +85°C APPLIED TO –40°C AND +85°C 0 –3 0 –3
5 8
–70 –60 –50 –40 –30 –20 –10 0
00
–70 –60 –50 –40 –30 –20 –10 0
00 6- 6-
(–47dBm) INPUT AMPLITUDE (dBV) (+3dBm)
08
(–47dBm) INPUT AMPLITUDE (dBV) (+3dBm)
08 01 01 Figure 5. VUP and Log Conformance vs. Input Amplitude at 0.1 GHz; Figure 8. VUP and Log Conformance vs. Input Amplitude at 1.9 GHz; −40°C, +25°C, and +85°C −40°C, +25°C, and +85°C
1.2 3 1.2 3 1.0 2 1.0 2 +25°C +85°C 0.8 1 0.8 1 +85°C +85°C ) B) B) d ) d (V +25°C 0.6 R ( 0 (V 0.6 R ( 0 UP UP V –40°C V RRO RRO E –40°C E 0.4 –1 0.4 –1 0.2 SLOPE AND INTERCEPT –2 0.2 SLOPE AND INTERCEPT –2 NORMALIZED AT +25°C AND NORMALIZED AT +25°C AND APPLIED TO –40°C AND +85°C APPLIED TO –40°C AND +85°C 0 –3 0 –3
6 9
–70 –60 –50 –40 –30 –20 –10 0
00
–70 –60 –50 –40 –30 –20 –10 0
00 6- 6-
(–47dBm) INPUT AMPLITUDE (dBV) (+3dBm)
08
(–47dBm) INPUT AMPLITUDE (dBV) (+3dBm)
08 01 01 Figure 6. VUP and Log Conformance vs. Input Amplitude at 0.9 GHz; Figure 9. VUP and Log Conformance vs. Input Amplitude at 2.5 GHz; −40°C, +25°C, and +85°C −40°C, +25°C, and +85°C Rev. B | Page 6 of 20 Document Outline FEATURES APPLICATIONS GENERAL DESCRIPTION FUNCTIONAL BLOCK DIAGRAM TABLE OF CONTENTS REVISION HISTORY SPECIFICATIONS ABSOLUTE MAXIMUM RATINGS ESD CAUTION PIN CONFIGURATIONS AND FUNCTION DESCRIPTIONS TYPICAL PERFORMANCE CHARACTERISTICS THEORY OF OPERATION INVERTED OUTPUT APPLICATIONS BASIC CONNECTIONS TRANSFER FUNCTION IN TERMS OF SLOPE AND INTERCEPT dBV VS. dBm FILTER CAPACITOR OPERATING IN CONTROLLER MODE POWER-ON AND ENABLE GLITCH INPUT COUPLING OPTIONS INCREASING THE LOGARITHMIC SLOPE IN MEASUREMENT MODE EFFECT OF WAVEFORM TYPE ON INTERCEPT MOBILE HANDSET POWER CONTROL EXAMPLES OPERATION AT 2.7 GHz USING THE LFCSP PACKAGE EVALUATION BOARD OUTLINE DIMENSIONS ORDERING GUIDE