Datasheet ISL28130, ISL28230, ISL28430 (Intersil) - 10
| Fabricante | Intersil |
| Descripción | Single, Dual, and Quad Micropower, Low Drift, RRIO Operational Amplifiers |
| Páginas / Página | 19 / 10 — -20. Vs = ±0.9V. Vs = ±2.5V. -40. L = OPEN. L = 3.7pF. CL = 3.7pF. AV = … |
| Revisión | 2017-11-07 |
| Formato / tamaño de archivo | PDF / 1.3 Mb |
| Idioma del documento | Inglés |
-20. Vs = ±0.9V. Vs = ±2.5V. -40. L = OPEN. L = 3.7pF. CL = 3.7pF. AV = 1. -60. OUT = 1VP-P. K (dB). LK (. -80. -100. CROSST. CROSS. -120. -140. 10k. 100k

Línea de modelo para esta hoja de datos
Versión de texto del documento
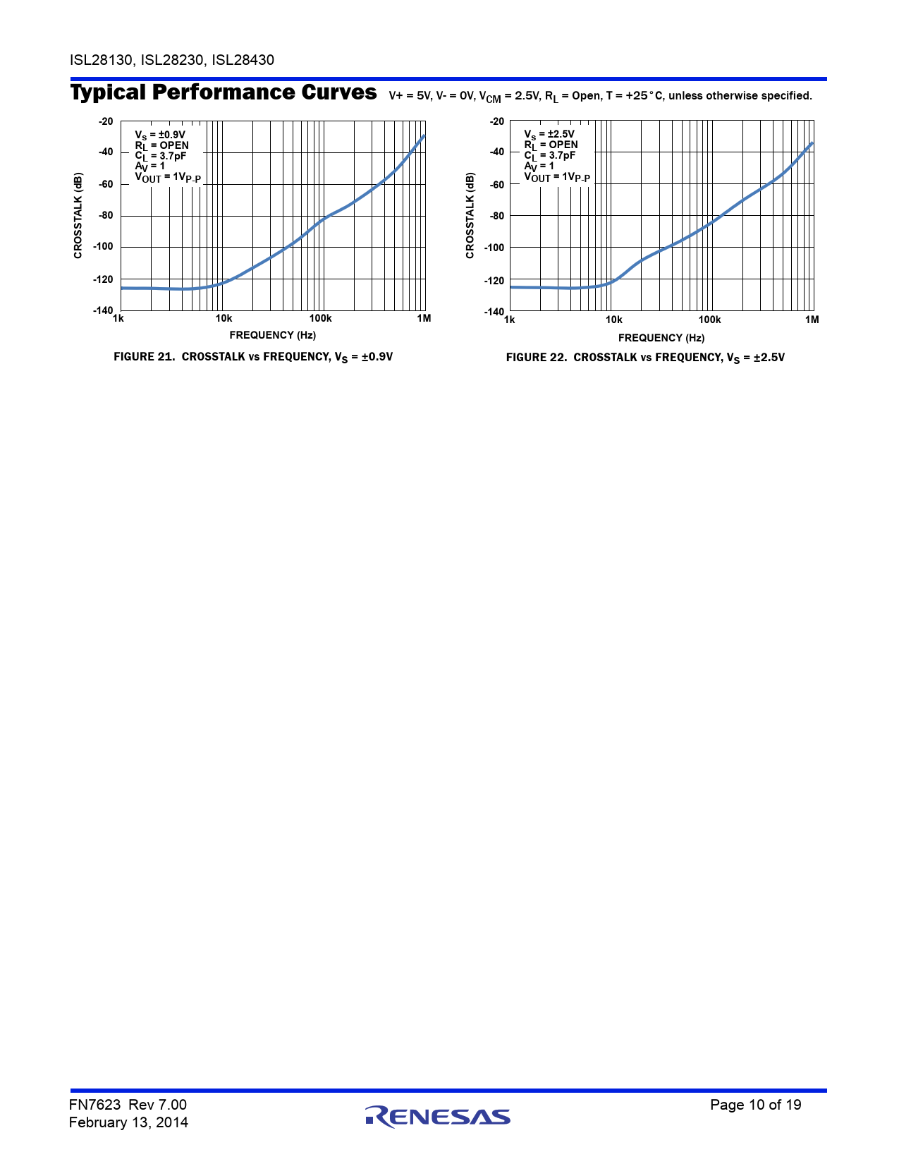
ISL28130, ISL28230, ISL28430 Typical Performance Curves V+ = 5V, V- = 0V, VCM = 2.5V, RL = Open, T = +25°C, unless otherwise specified.
-20 -20 Vs = ±0.9V Vs = ±2.5V R R -40 L = OPEN L = OPEN C -40 L = 3.7pF CL = 3.7pF AV = 1 AV = 1 V ) V -60 OUT = 1VP-P B OUT = 1VP-P d -60 K (dB) LK ( AL -80 TA -80 -100 -100 CROSST CROSS -120 -120 -140 -140 1k 10k 100k 1M 1k 10k 100k 1M FREQUENCY (Hz) FREQUENCY (Hz)
FIGURE 21. CROSSTALK vs FREQUENCY, VS = ±0.9V FIGURE 22. CROSSTALK vs FREQUENCY, VS = ±2.5V FN7623 Rev 7.00 Page 10 of 19 February 13, 2014