Datasheet ADXL316 (Analog Devices) - 10

FabricanteAnalog Devices
DescripciónSmall, Low Power, 3-Axis, ±16 g Accelerometer
Páginas / Página15 / 10 — Data Sheet. ADXL316. 450. 400. 350. 300. (μA) 250. 200. CURRE 150. 100. …
RevisiónC
Formato / tamaño de archivoPDF / 309 Kb
Idioma del documentoInglés

Data Sheet. ADXL316. 450. 400. 350. 300. (μA) 250. 200. CURRE 150. 100. 01.5. 2.0. 2.5. 3.0. 3.5. 4.0. SUPPLY (V)

Data Sheet ADXL316 450 400 350 300 (μA) 250 200 CURRE 150 100 01.5 2.0 2.5 3.0 3.5 4.0 SUPPLY (V)

Línea de modelo para esta hoja de datos

Versión de texto del documento

Data Sheet ADXL316 450 400 350 300 (μA) 250 NT 200 CURRE 150 100 50 01.5 2.0 2.5 3.0 3.5 4.0
022
SUPPLY (V)
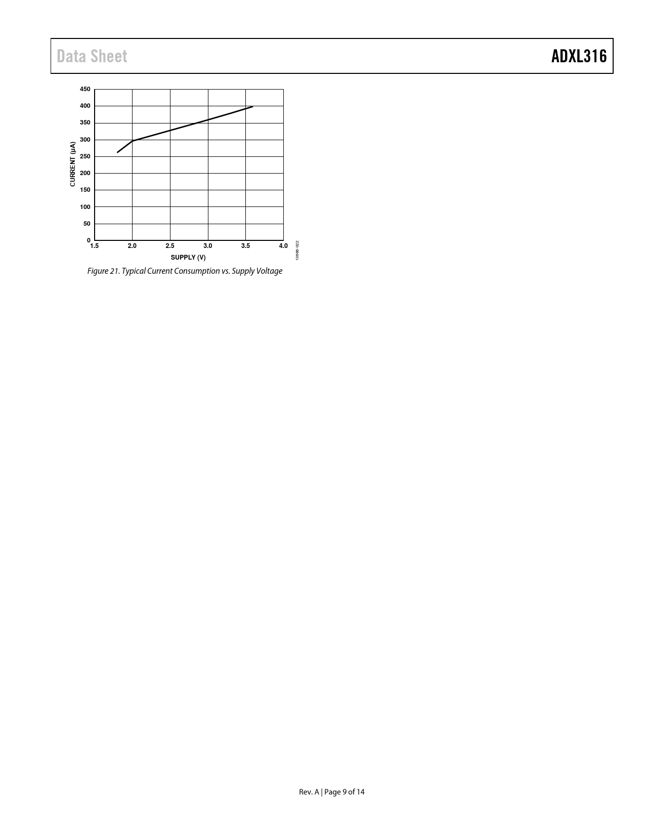
13686- Figure 21. Typical Current Consumption vs. Supply Voltage Rev. A | Page 9 of 14 Document Outline FEATURES APPLICATIONS GENERAL DESCRIPTION FUNCTIONAL BLOCK DIAGRAM TABLE OF CONTENTS REVISION HISTORY SPECIFICATIONS ABSOLUTE MAXIMUM RATINGS ESD CAUTION PIN CONFIGURATION AND FUNCTION DESCRIPTIONS TYPICAL PERFORMANCE CHARACTERISTICS THEORY OF OPERATION MECHANICAL SENSOR PERFORMANCE APPLICATIONS INFORMATION POWER SUPPLY DECOUPLING SETTING THE BANDWIDTH USING CX, CY, AND CZ SELF TEST DESIGN TRADE-OFFS FOR SELECTING FILTER CHARACTERISTICS: THE NOISE/BW TRADE-OFF USE WITH OPERATING VOLTAGES OTHER THAN 3 V AXES OF ACCELERATION SENSITIVITY LAYOUT AND DESIGN RECOMMENDATIONS OUTLINE DIMENSIONS ORDERING GUIDE AUTOMOTIVE PRODUCTS