Datasheet ADXL362 (Analog Devices) - 10

FabricanteAnalog Devices
DescripciónMicropower, 3-Axis, ±2 g/±4 g/±8 g Digital Output MEMS Accelerometer
Páginas / Página45 / 10 — ADXL362. Data Sheet. TYPICAL PERFORMANCE CHARACTERISTICS. TION. PO F. OF …
RevisiónF
Formato / tamaño de archivoPDF / 1.2 Mb
Idioma del documentoInglés

ADXL362. Data Sheet. TYPICAL PERFORMANCE CHARACTERISTICS. TION. PO F. OF P. EN C. PER. –80 –70 –60 –50 –40 –30 –20 –10 0

ADXL362 Data Sheet TYPICAL PERFORMANCE CHARACTERISTICS TION PO F OF P EN C PER –80 –70 –60 –50 –40 –30 –20 –10 0

Línea de modelo para esta hoja de datos

Versión de texto del documento

ADXL362 Data Sheet TYPICAL PERFORMANCE CHARACTERISTICS 25 40 35 ) ) % 20 % ( ( 30 TION TION A A L L 25 15 U PU OP 20 PO F OF P O 10 T GE 15 A EN T C EN C 10 PER 5 PER 5 0 0 –80 –70 –60 –50 –40 –30 –20 –10 0 10 20 30 40 50 60 70 80
005
930 950 970 990 1010 1030 1050 1070 1090 1110 1130
008
ZERO g OFFSET (mg )
10776-
SENSITIVITY (mg /LSB)
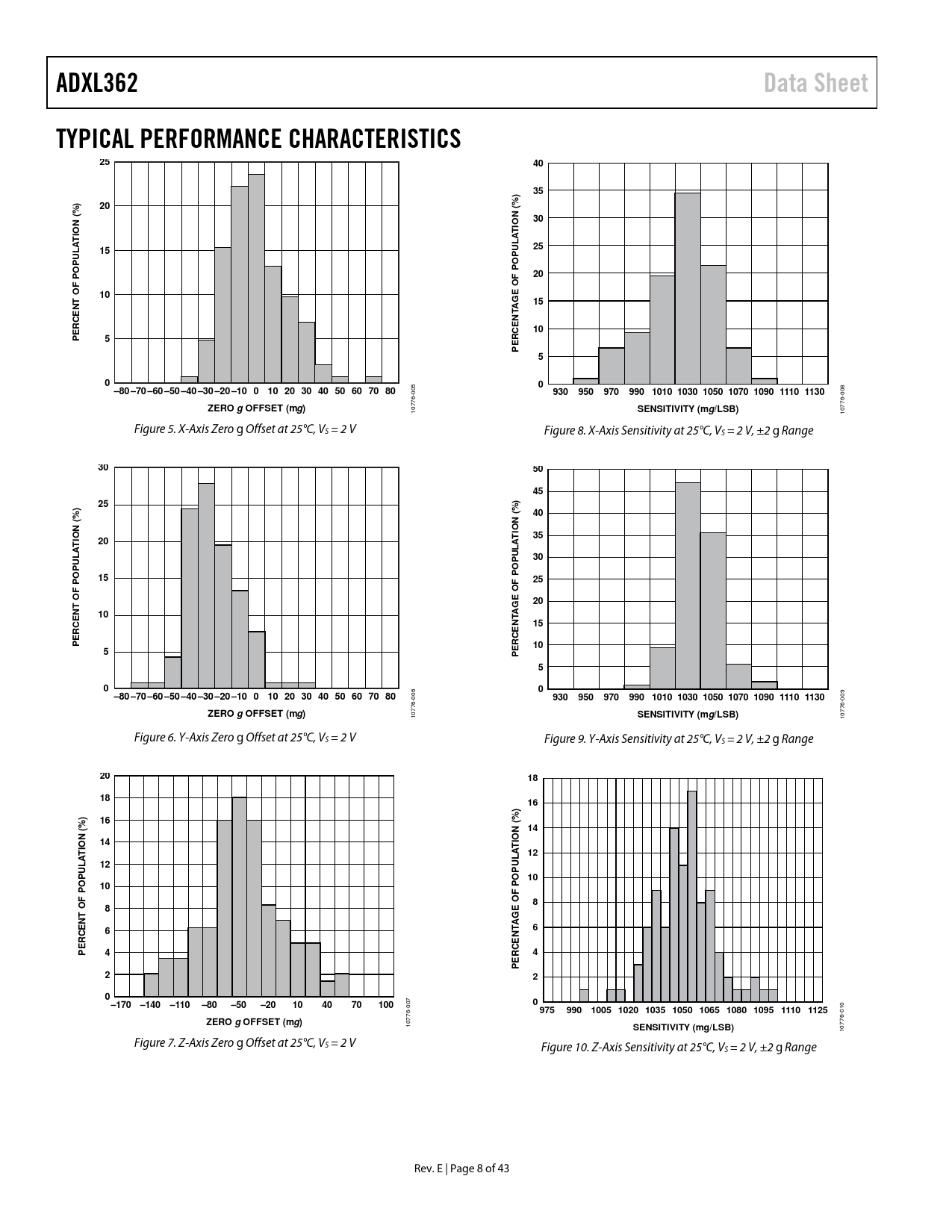
10776- Figure 5. X-Axis Zero g Offset at 25°C, VS = 2 V Figure 8. X-Axis Sensitivity at 25°C, VS = 2 V, ±2 g Range
30 50 45 ) ) 25 % % ( 40 ( TION 35 TION 20 A A L L U 30 PU OP 15 25 PO F OF P O 20 T GE A EN 10 T C 15 EN C PER 10 5 PER 5 0 0 –80 –70 –60 –50 –40 –30 –20 –10 0 10 20 30 40 50 60 70 80
006
930 950 970 990 1010 1030 1050 1070 1090 1110 1130
009
ZERO g OFFSET (mg )
10776-
SENSITIVITY (mg /LSB)
10776- Figure 6. Y-Axis Zero g Offset at 25°C, VS = 2 V Figure 9. Y-Axis Sensitivity at 25°C, VS = 2 V, ±2 g Range
20 18 18 16 ) ) 16 % % ( ( 14 14 TION TION A 12 A L L 12 U PU OP 10 10 PO F OF P 8 O 8 T GE A EN 6 T 6 C EN C PER 4 4 PER 2 2 0–170 –140 –110 –80 –50 –20 10 40 70 100 0
007
975 990 1005 1020 1035 1050 1065 1080 1095 1110 1125
010
ZERO g OFFSET (mg )
10776-
SENSITIVITY (mg/LSB)
10776- Figure 7. Z-Axis Zero g Offset at 25°C, VS = 2 V Figure 10. Z-Axis Sensitivity at 25°C, V S = 2 V, ±2 g Range Rev. E | Page 8 of 43 Document Outline FEATURES APPLICATIONS GENERAL DESCRIPTION FUNCTIONAL BLOCK DIAGRAM REVISION HISTORY SPECIFICATIONS ABSOLUTE MAXIMUM RATINGS THERMAL RESISTANCE PACKAGE INFORMATION RECOMMENDED SOLDERING PROFILE ESD CAUTION PIN CONFIGURATION AND FUNCTION DESCRIPTIONS TYPICAL PERFORMANCE CHARACTERISTICS THEORY OF OPERATION MECHANICAL DEVICE OPERATION OPERATING MODES Measurement Mode Wake-Up Mode Standby SELECTABLE MEASUREMENT RANGES SELECTABLE OUTPUT DATA RATES Antialiasing POWER/NOISE TRADEOFF POWER SAVINGS FEATURES ULTRALOW POWER CONSUMPTION IN ALL MODES MOTION DETECTION Activity Detection Referenced and Absolute Configurations Fewer False Positives Inactivity Detection Linking Activity and Inactivity Detection Default Mode Linked Mode Loop Mode Autosleep Using the AWAKE Bit FIFO System Level Power Savings Data Recording/Event Context COMMUNICATIONS SPI Instructions Bus Keepers MSB Registers ADDITIONAL FEATURES FREE FALL DETECTION EXTERNAL CLOCK SYNCHRONIZED DATA SAMPLING SELF TEST USER REGISTER PROTECTION TEMPERATURE SENSOR SERIAL COMMUNICATIONS SPI COMMANDS Read and Write Register Commands Read FIFO Command MULTIBYTE TRANSFERS Register Read/Write Auto-Increment INVALID ADDRESSES AND ADDRESS FOLDING LATENCY RESTRICTIONS INVALID COMMANDS REGISTER MAP REGISTER DETAILS DEVICE ID REGISTER DEVICE ID: 0x1D REGISTER PART ID: 0xF2 REGISTER SILICON REVISION ID REGISTER X-AXIS DATA (8 MSB) REGISTER Y-AXIS DATA (8 MSB) REGISTER Z-AXIS DATA (8 MSB) REGISTER STATUS REGISTER FIFO ENTRIES REGISTERS X-AXIS DATA REGISTERS Y-AXIS DATA REGISTERS Z-AXIS DATA REGISTERS TEMPERATURE DATA REGISTERS SOFT RESET REGISTER ACTIVITY THRESHOLD REGISTERS ACTIVITY TIME REGISTER INACTIVITY THRESHOLD REGISTERS INACTIVITY TIME REGISTERS ACTIVITY/INACTIVITY CONTROL REGISTER FIFO CONTROL REGISTER FIFO SAMPLES REGISTER INT1/INT2 FUNCTION MAP REGISTERS FILTER CONTROL REGISTER POWER CONTROL REGISTER SELF TEST REGISTER APPLICATIONS INFORMATION APPLICATION EXAMPLES Device Configuration Autonomous Motion Switch Start-up Routine Using External Timing Triggers Example: Implementing Free Fall Detection Start-up Routine POWER Power Supply Decoupling Power Supply Requirements FIFO MODES FIFO Disabled Oldest Saved Mode Stream Mode Triggered Mode FIFO Configuration FIFO Interrupts Retrieving Data from FIFO INTERRUPTS Interrupt Pins Alternate Functions of Interrupt Pins Activity and Inactivity Interrupts Data Ready Interrupt Using FIFO Interrupts FIFO Watermark FIFO Ready Overrun USING SYNCHRONIZED DATA SAMPLING USING AN EXTERNAL CLOCK USING SELF TEST OPERATION AT VOLTAGES OTHER THAN 2.0 V MECHANICAL CONSIDERATIONS FOR MOUNTING AXES OF ACCELERATION SENSITIVITY LAYOUT AND DESIGN RECOMMENDATIONS OUTLINE DIMENSIONS ORDERING GUIDE