Datasheet ADXL212 (Analog Devices) - 8

FabricanteAnalog Devices
DescripciónLow Cost ±2g Dual Axis Accelerometer
Páginas / Página13 / 8 — ADXL212. 54.0. 13.1. 53.5. 13.0. 53.0 52.5. 12.9. 52.0. 12.8. ) 51.5. ) …
Formato / tamaño de archivoPDF / 282 Kb
Idioma del documentoInglés

ADXL212. 54.0. 13.1. 53.5. 13.0. 53.0 52.5. 12.9. 52.0. 12.8. ) 51.5. ) 12.7. (% 51.0. 50.5. ( 12.6. Y 50.0. IT 12.5. C Y 49.5. ITIV 12.4. 49.0. DUT. N E. 48.5

ADXL212 54.0 13.1 53.5 13.0 53.0 52.5 12.9 52.0 12.8 ) 51.5 ) 12.7 (% 51.0 50.5 ( 12.6 Y 50.0 IT 12.5 C Y 49.5 ITIV 12.4 49.0 DUT N E 48.5

Línea de modelo para esta hoja de datos

Versión de texto del documento

ADXL212 54.0 13.1 53.5 13.0 53.0 52.5 12.9 52.0 12.8 ) 51.5 ) 12.7 (% 51.0 /g E % 50.5 ( 12.6 CL Y Y 50.0 IT 12.5 C Y 49.5 ITIV 12.4 49.0 S DUT N E 48.5 12.3 S 48.0 12.2 47.5 12.1 47.0 46.5 12.0 46.0 11.9 0 10 20 30 40 50 60 70 80 90
100
0
13
–40 –30 –20 –10 10 20 30 40 50 60 70 80 90
0 4-
–50 –40 –30 –20 –10
4-
TEMPERATURE (°C)
80 80 09
TEMPERATURE (°C)
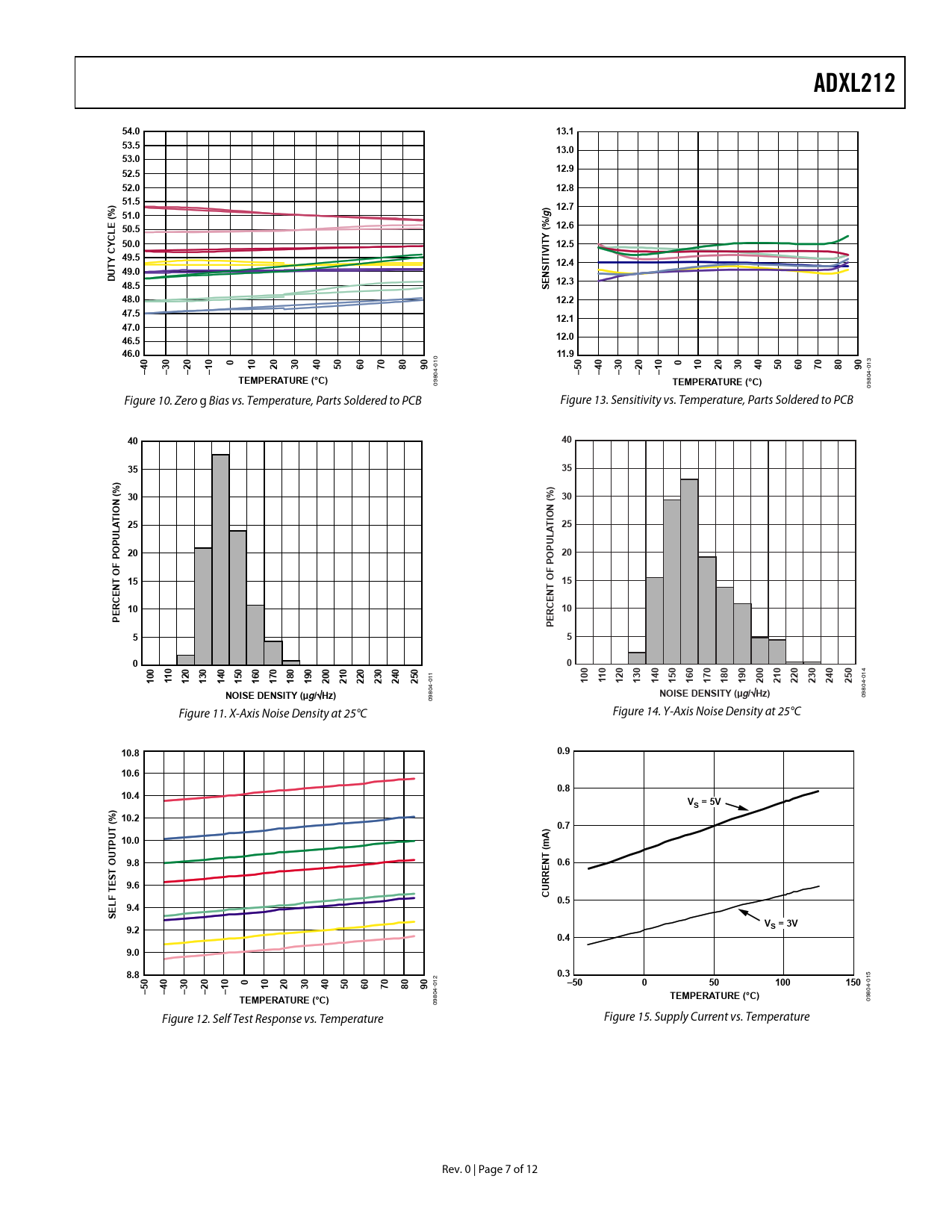
09 Figure 10. Zero g Bias vs. Temperature, Parts Soldered to PCB Figure 13. Sensitivity vs. Temperature, Parts Soldered to PCB
40 40 35 35 ) % ) ( 30 % ( 30 ION T ON A TI 25 L 25 A U P UL O P 20 20 P O P F OF T 15 O 15 N E NT C R E 10 RCE 10 P E P 5 5 0 0 0
4
0 0 0 0 0 0 0 0 0 0 0 0 0 0 0 0
1 01 01
100 11 120 130 140 150 160 170 180 190 200 210 220 230 240 250 10 11 12 13 14 15 16 17 18 19 20 21 22 23 24 25
4- 4- 80
NOISE DENSITY (µg / Hz) NOISE DENSITY (µ
980
g / Hz)
09 0 Figure 11. X-Axis Noise Density at 25°C Figure 14. Y-Axis Noise Density at 25°C
10.8 0.9 10.6 0.8 10.4 V ) S = 5V % 10.2 ( T 0.7 U A) 10.0 P T m ( U T 9.8 N 0.6 T O S 9.6 TE URRE C LF 0.5 9.4 E S V 9.2 S = 3V 0.4 9.0 8.8 0.3
5 2
0
01 01
10 20 30 40 50 60 70 80 90 –50 0 50 100 150
4- 4-
–50 –40 –30 –20 –10
80
TEMPERATURE (°C)
80
TEMPERATURE (°C)
09 09 Figure 12. Self Test Response vs. Temperature Figure 15. Supply Current vs. Temperature Rev. 0 | Page 7 of 12 Document Outline FEATURES APPLICATIONS GENERAL DESCRIPTION FUNCTIONAL BLOCK DIAGRAM TABLE OF CONTENTS REVISION HISTORY SPECIFICATIONS ABSOLUTE MAXIMUM RATINGS THERMAL RESISTANCE ESD CAUTION PIN CONFIGURATION AND FUNCTION DESCRIPTIONS TYPICAL PERFORMANCE CHARACTERISTICS THEORY OF OPERATION PERFORMANCE APPLICATIONS INFORMATION POWER SUPPLY DECOUPLING SETTING THE BANDWIDTH USING CX AND CY SELF TEST DESIGN TRADE-OFFS FOR SELECTING FILTER CHARACTERISTICS: NOISE vs. BANDWIDTH USING THE ADXL212 WITH OPERATING VOLTAGES OTHER THAN 5 V USING THE ADXL212 AS A DUAL AXIS TILT SENSOR Dual Axis Tilt Sensor: Converting Acceleration to Tilt OUTLINE DIMENSIONS ORDERING GUIDE