Datasheet ADXL337 (Analog Devices) - 9

FabricanteAnalog Devices
DescripciónSmall, Low Power, 3-Axis ±3 g Accelerometer
Páginas / Página17 / 9 — 0.33. 0.32. N O TI. 0.31. V ( Y. 0.30. ITIV. S N. S 0.29. 0.28. 0.27. …
Formato / tamaño de archivoPDF / 332 Kb
Idioma del documentoInglés

0.33. 0.32. N O TI. 0.31. V ( Y. 0.30. ITIV. S N. S 0.29. 0.28. 0.27. –40. –20. 100. 290. 293. 296. 299. 302. 305. 308. 311. 314. 317. TEMPERATURE (°C). SENSITIVITY (V/g

0.33 0.32 N O TI 0.31 V ( Y 0.30 ITIV S N S 0.29 0.28 0.27 –40 –20 100 290 293 296 299 302 305 308 311 314 317 TEMPERATURE (°C) SENSITIVITY (V/g

Línea de modelo para esta hoja de datos

Versión de texto del documento

ADXL337
50 0.33 45 0.32 40 N O TI 35 A ) L 0.31 /g 30 PU V ( Y PO 25 IT F 0.30 O ITIV T 20 S N EN E C S 0.29 R 15 PE 10 0.28 5 0 0.27 –40 –20 0 20 40 60 80 100
20
290 293 296 299 302 305 308 311 314 317
0 8-
0. 0. 0. 0. 0. 0. 0. 0. 0. 0.
7 01
TEMPERATURE (°C)
35 8- 09
SENSITIVITY (V/g )
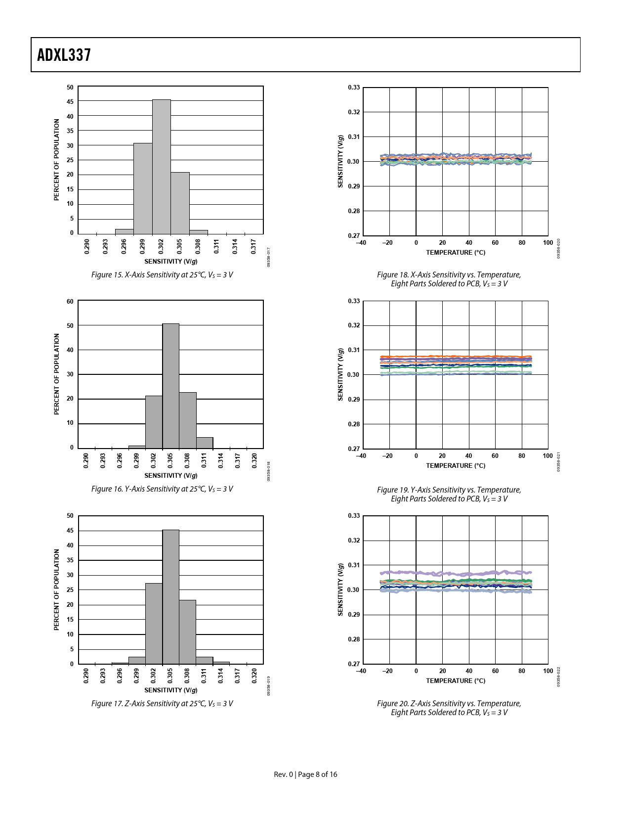
35 09 Figure 15. X-Axis Sensitivity at 25°C, VS = 3 V Figure 18. X-Axis Sensitivity vs. Temperature, Eight Parts Soldered to PCB, VS = 3 V
60 0.33 50 0.32 N O TI A 40 ) 0.31 L /g U V P ( Y PO IT 30 F V 0.30 O ITI T S N EN E 20 C S 0.29 R PE 10 0.28 0 0.27 11 –40 –20 0 20 40 60 80 100
21
290 293 296 299 302 305 308 3 314 317 320
0 8-
0. 0. 0. 0. 0. 0. 0. 0. 0. 0. 0.
18 0
TEMPERATURE (°C)
35 8- 09
SENSITIVITY (V/g )
35 09 Figure 16. Y-Axis Sensitivity at 25°C, VS = 3 V Figure 19. Y-Axis Sensitivity vs. Temperature, Eight Parts Soldered to PCB, VS = 3 V
50 0.33 45 0.32 40 35 TION A ) 0.31 L /g 30 V PU ( Y PO IT 25 F V 0.30 O ITI T 20 S N EN E C S 0.29 15 PER 10 0.28 5 0 0.27 11 –40 –20 0
22
20 40 60 80 100
0
290 293 296 299 302 305 308 3 314 317 320
9 8-
0. 0. 0. 0. 0. 0. 0. 0. 0. 0. 0.
01
TEMPERATURE (°C)
35 8- 09
SENSITIVITY (V/g )
35 09 Figure 17. Z-Axis Sensitivity at 25°C, VS = 3 V Figure 20. Z-Axis Sensitivity vs. Temperature, Eight Parts Soldered to PCB, VS = 3 V Rev. 0 | Page 8 of 16 Document Outline FEATURES APPLICATIONS GENERAL DESCRIPTION FUNCTIONAL BLOCK DIAGRAM TABLE OF CONTENTS REVISION HISTORY SPECIFICATIONS ABSOLUTE MAXIMUM RATINGS ESD CAUTION PIN CONFIGURATION AND FUNCTION DESCRIPTIONS TYPICAL PERFORMANCE CHARACTERISTICS THEORY OF OPERATION MECHANICAL SENSOR PERFORMANCE APPLICATIONS INFORMATION POWER SUPPLY DECOUPLING SETTING THE BANDWIDTH USING CX, CY, AND CZ SELF TEST DESIGN TRADE-OFFS FOR SELECTING FILTER CHARACTERISTICS: THE NOISE/BW TRADE-OFF USE WITH OPERATING VOLTAGES OTHER THAN 3 V AXES OF ACCELERATION SENSITIVITY LAYOUT AND DESIGN RECOMMENDATIONS OUTLINE DIMENSIONS ORDERING GUIDE