Datasheet ADXL325 (Analog Devices) - 7

FabricanteAnalog Devices
DescripciónSmall, Low Power, 3-Axis ±5 g Accelerometer
Páginas / Página17 / 7 — ADXL325. TYPICAL PERFORMANCE CHARACTERISTICS. ( N. TI A. U P. 1.46. 1.47. …
Formato / tamaño de archivoPDF / 283 Kb
Idioma del documentoInglés

ADXL325. TYPICAL PERFORMANCE CHARACTERISTICS. ( N. TI A. U P. 1.46. 1.47. 1.48. 1.49. 1.5. 1.51. 1.52. 1.53. 1.54. –0.22. –0.20. –0.18. –0.16. –0.14. –0.12

ADXL325 TYPICAL PERFORMANCE CHARACTERISTICS ( N TI A U P 1.46 1.47 1.48 1.49 1.5 1.51 1.52 1.53 1.54 –0.22 –0.20 –0.18 –0.16 –0.14 –0.12

Línea de modelo para esta hoja de datos

Versión de texto del documento

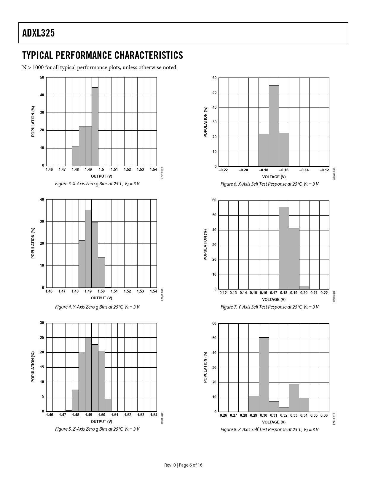
ADXL325 TYPICAL PERFORMANCE CHARACTERISTICS
N > 1000 for all typical performance plots, unless otherwise noted.
50 60 50 40 ) ) % 40 ( % 30 ( N ON O TI A TI 30 L A U L P 20 U P PO PO 20 10 10 0 0 1.46 1.47 1.48 1.49 1.5 1.51 1.52 1.53 1.54
05 0
–0.22 –0.20 –0.18 –0.16 –0.14 –0.12
08 0 6- 6-
OUTPUT (V)
94
VOLTAGE (V)
94 07 07 Figure 3. X-Axis Zero g Bias at 25°C, VS = 3 V Figure 6. X-Axis Self Test Response at 25°C, VS = 3 V
40 60 50 30 ) % ) 40 ( N (% O TI 20 A TION 30 L A U L P PU PO PO 20 10 10 0 0 1.46 1.47 1.48 1.49 1.50 1.51 1.52 1.53 1.54
6 -00
0.12 0.13 0.14 0.15 0.16 0.17 0.18 0.19 0.20 0.21 0.22
09 0 46
OUTPUT (V)
6- 94 079
VOLTAGE (V)
07 Figure 4. Y-Axis Zero g Bias at 25°C, VS = 3 V Figure 7. Y-Axis Self Test Response at 25°C, VS = 3 V
30 60 25 50 ) 20 ) % 40 ( % ( N N O O TI A 15 TI 30 L A L U P U P PO 10 PO 20 5 10 0 0 1.46 1.47 1.48 1.49 1.50 1.51 1.52 1.53 1.54
7 0 00
0.26 0.27 0.28 0.29 0.30 0.31 0.32 0.33 0.34 0.35 0.36
01 6- 6-
OUTPUT (V)
94
VOLTAGE (V)
94 07 07 Figure 5. Z-Axis Zero g Bias at 25°C, VS = 3 V Figure 8. Z-Axis Self Test Response at 25°C, VS = 3 V Rev. 0 | Page 6 of 16 Document Outline FEATURES APPLICATIONS GENERAL DESCRIPTION FUNCTIONAL BLOCK DIAGRAM TABLE OF CONTENTS REVISION HISTORY SPECIFICATIONS ABSOLUTE MAXIMUM RATINGS ESD CAUTION PIN CONFIGURATION AND FUNCTION DESCRIPTIONS TYPICAL PERFORMANCE CHARACTERISTICS THEORY OF OPERATION MECHANICAL SENSOR PERFORMANCE APPLICATIONS INFORMATION POWER SUPPLY DECOUPLING SETTING THE BANDWIDTH USING CX, CY, AND CZ SELF TEST DESIGN TRADE-OFFS FOR SELECTING FILTER CHARACTERISTICS: THE NOISE/BW TRADE-OFF USE WITH OPERATING VOLTAGES OTHER THAN 3 V AXES OF ACCELERATION SENSITIVITY LAYOUT AND DESIGN RECOMMENDATIONS OUTLINE DIMENSIONS ORDERING GUIDE