Datasheet ADXRS642 (Analog Devices) - 7
| Fabricante | Analog Devices |
| Descripción | Vibration Rejecting ±250°/s Yaw Rate Gyro |
| Páginas / Página | 13 / 7 — ADXRS642. Data Sheet. TYPICAL PERFORMANCE CHARACTERISTICS. TION. OF P. PER |
| Revisión | A |
| Formato / tamaño de archivo | PDF / 353 Kb |
| Idioma del documento | Inglés |
ADXRS642. Data Sheet. TYPICAL PERFORMANCE CHARACTERISTICS. TION. OF P. PER

Línea de modelo para esta hoja de datos
Versión de texto del documento
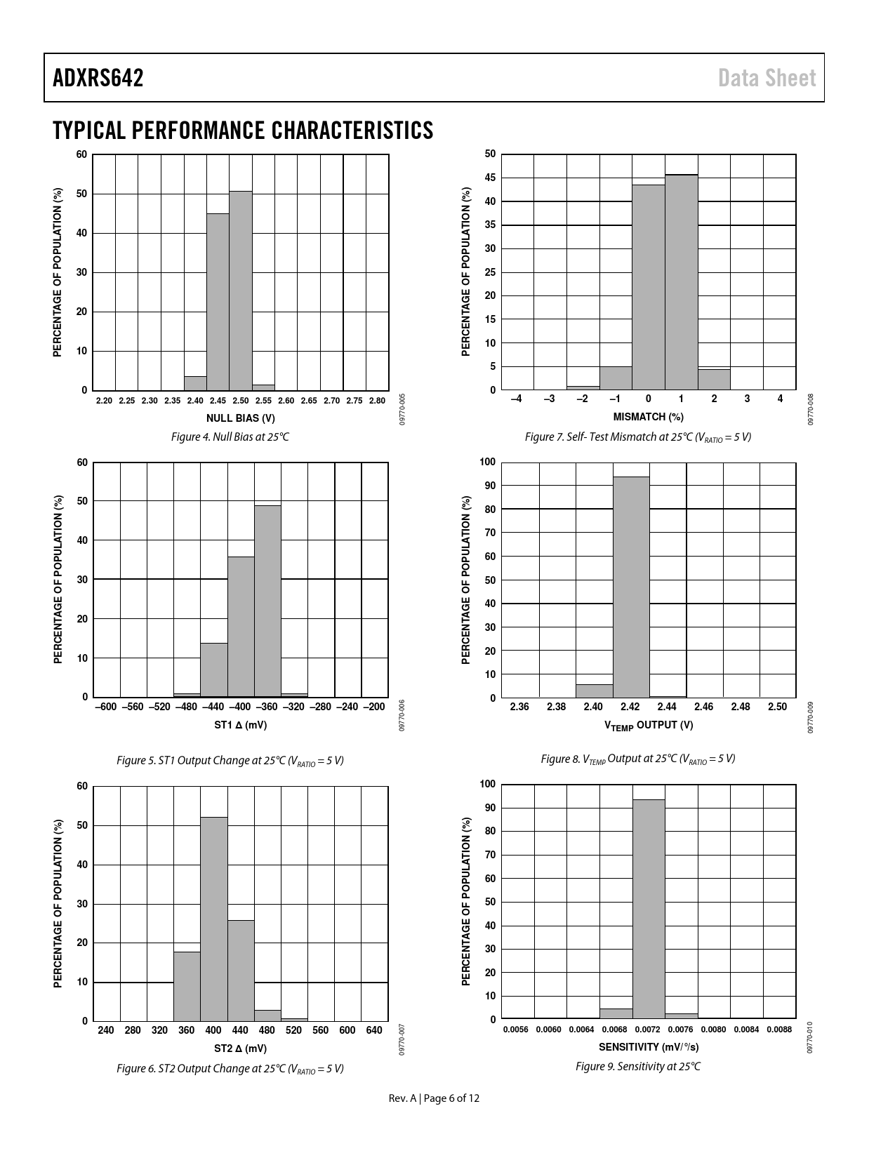
ADXRS642 Data Sheet TYPICAL PERFORMANCE CHARACTERISTICS 60 50 45 ) ) 50 % % ( ( 40 TION TION 35 A 40 A L L U U 30 OP OP 30 25 OF P OF P GE 20 GE A A T 20 T 15 EN EN C C 10 10 PER PER 5 0 0 2.20 2.25 2.30 2.35 2.40 2.45 2.50 2.55 2.60 2.65 2.70 2.75 2.80
005
–4 –3 –2 –1 0 1 2 3 4
008
NULL BIAS (V) MISMATCH (%)
09770- 09770- Figure 4. Null Bias at 25°C Figure 7. Self- Test Mismatch at 25°C (VRATIO = 5 V)
60 100 90 ) ) 50 % % ( ( 80 TION TION 70 A 40 A L L U U 60 OP OP 30 50 OF P OF P GE 40 GE A A T 20 T 30 EN EN C C 20 10 PER PER 10 0 0 –600 –560 –520 –480 –440 –400 –360 –320 –280 –240 –200
006
2.36 2.38 2.40 2.42 2.44 2.46 2.48 2.50
009
ST1 Δ (mV) V
09770-
TEMP OUTPUT (V)
09770- Figure 5. ST1 Output Change at 25°C (V Figure 8. V RATIO = 5 V) TEMP Output at 25°C (VRATIO = 5 V)
60 100 90 ) ) 50 % % ( ( 80 TION TION 70 A 40 A L L U U 60 OP OP 30 50 OF P OF P 40 GE GE A A T 20 T 30 EN EN C C 20 10 PER PER 10 0 0 240 280 320 360 400 440 480 520 560 600 640
007
0.0056 0.0060 0.0064 0.0068 0.0072 0.0076 0.0080 0.0084 0.0088
010
ST2 Δ (mV) SENSITIVITY (mV/°/s)
09770- 09770- Figure 6. ST2 Output Change at 25°C (V Figure 9. Sensitivity at 25°C RATIO = 5 V) Rev. A | Page 6 of 12 Document Outline Features Applications General Description Functional Block Diagram Revision History Specifications Absolute Maximum Ratings Rate Sensitive Axis ESD Caution Pin Configuration and Function Descriptions Typical Performance Characteristics Theory of Operation Setting Bandwidth Temperature Output and Calibration Supply Ratiometricity Modifying the Measurement Range Null Adjustment Self-Test Function Continuous Self-Test Mechanical Performance Outline Dimensions Ordering Guide