Datasheet REF01, REF02, REF03 (Analog Devices) - 9

FabricanteAnalog Devices
Descripción2.5 V Precision Voltage Reference
Páginas / Página20 / 9 — Data Sheet. REF01/REF02/REF03. IL = 0mA TO 10mA. VIN = 14V TO 36V. VIN = …
RevisiónM
Formato / tamaño de archivoPDF / 682 Kb
Idioma del documentoInglés

Data Sheet. REF01/REF02/REF03. IL = 0mA TO 10mA. VIN = 14V TO 36V. VIN = 36V. m p. N IO. ION. VIN = 14V. –10. AD RE. INE. –20. –30. –40. 125

Data Sheet REF01/REF02/REF03 IL = 0mA TO 10mA VIN = 14V TO 36V VIN = 36V m p N IO ION VIN = 14V –10 AD RE INE –20 –30 –40 125

Línea de modelo para esta hoja de datos

Versión de texto del documento

Data Sheet REF01/REF02/REF03 40 2 IL = 0mA TO 10mA VIN = 14V TO 36V 30 VIN = 36V 0 A) 20 ) /m /V m p pm –2 10 p (p ( N IO ION 0 T AT –4 A UL VIN = 14V UL G G –10 RE –6 AD RE INE O –20 L L –8 –30 –40 –10 –40 0 25 50 85 125
301
–40 –25 –10 5 20 35 50 65 80 95 110 125
160 5- 5-
TEMPERATURE (°C)
37
TEMPERATURE (°C)
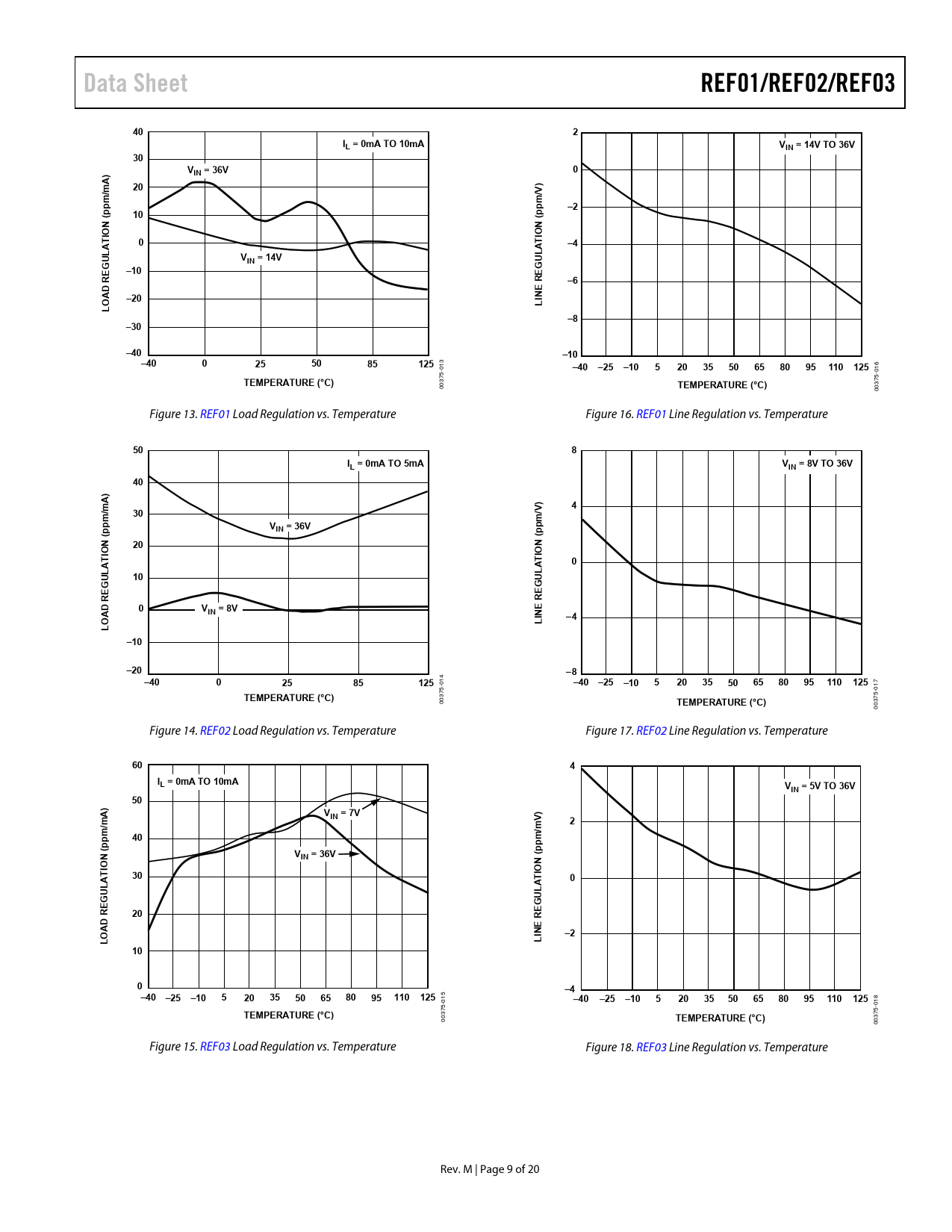
37 00 00 Figure 13. REF01 Load Regulation vs. Temperature Figure 16. REF01 Line Regulation vs. Temperature
50 8 IL = 0mA TO 5mA VIN = 8V TO 36V 40 ) A ) /m 4 30 /V pm pm p VIN = 36V p ( ( 20 ION ION T T 0 A LA 10 UL GU G E R RE D 0 V A IN = 8V INE –4 L LO –10 –20 –8
4
–40 0 25 85 125
01
–40 –25 –10 5 20 35 50 65 80 95 110 125
17 5- 0
TEMPERATURE (°C)
37 5- 00
TEMPERATURE (°C)
37 00 Figure 14. REF02 Load Regulation vs. Temperature Figure 17. REF02 Line Regulation vs. Temperature
60 4 IL = 0mA TO 10mA VIN = 5V TO 36V 50 ) A V ) IN = 7V V /m 2 /m pm 40 m p p ( p VIN = 36V ( N ION T 30 TIO 0 LA A GU UL E G R 20 D RE A INE –2 LO L 10 0 –4 –40 –25 –10 5 20 35 50 65 80 95 110 125
5 8 01
–40 –25 –10 5 20 35 50 65 80 95 110 125
5- 01 5-
TEMPERATURE (°C)
37 37 00
TEMPERATURE (°C)
00 Figure 15. REF03 Load Regulation vs. Temperature Figure 18. REF03 Line Regulation vs. Temperature Rev. M | Page 9 of 20 Document Outline FEATURES APPLICATIONS GENERAL DESCRIPTION PIN CONFIGURATIONS TABLE OF CONTENTS REVISION HISTORY SPECIFICATIONS REF01 SPECIFICATIONS REF02 SPECIFICATIONS REF03 SPECIFICATIONS ABSOLUTE MAXIMUM RATINGS THERMAL RESISTANCE ESD CAUTION PIN CONFIGURATIONS AND FUNCTION DESCRIPTIONS TYPICAL PERFORMANCE CHARACTERISTICS TERMINOLOGY THEORY OF OPERATION INPUT AND OUTPUT CAPACITORS OUTPUT ADJUSTMENT TEMPERATURE MONITORING LONG-TERM STABILITY BURN-IN POWER DISSIPATION APPLICATIONS INFORMATION BASIC REFERENCE APPLICATION LOW COST CURRENT SOURCE PRECISION CURRENT SOURCE WITH ADJUSTABLE OUTPUT PRECISION BOOSTED OUTPUT REGULATOR BIPOLAR VOLTAGE REFERENCE ADJUSTABLE REFERENCE WITH POSITIVE AND NEGATIVE SWING OUTLINE DIMENSIONS REF01 ORDERING GUIDE REF02 ORDERING GUIDE REF03 ORDERING GUIDE