Datasheet ADL5611 (Analog Devices) - 6
| Fabricante | Analog Devices | 
| Descripción | 30 MHz to 6 GHz RF/IF Gain Block | 
| Páginas / Página | 16 / 6 — ADL5611. Data Sheet. Frequency. S11. S21. S12. S22. (MHz). Magnitude … | 
| Revisión | B | 
| Formato / tamaño de archivo | PDF / 503 Kb | 
| Idioma del documento | Inglés | 
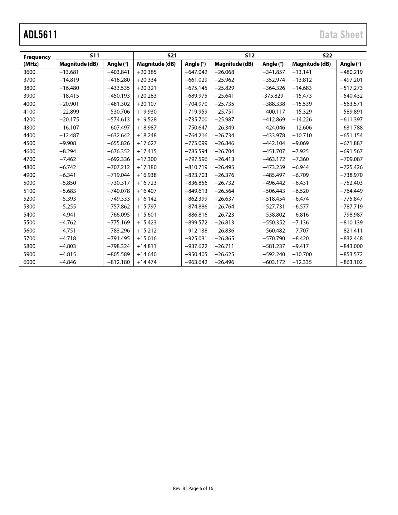
ADL5611. Data Sheet. Frequency. S11. S21. S12. S22. (MHz). Magnitude (dB). Angle (°)

Línea de modelo para esta hoja de datos
Versión de texto del documento
ADL5611 Data Sheet Frequency S11 S21 S12 S22 (MHz) Magnitude (dB) Angle (°) Magnitude (dB) Angle (°) Magnitude (dB) Angle (°) Magnitude (dB) Angle (°)
3600 −13.681 −403.841 +20.385 −647.042 −26.068 −341.857 −13.141 −480.219 3700 −14.819 −418.280 +20.334 −661.029 −25.962 −352.974 −13.812 −497.201 3800 −16.480 −433.535 +20.321 −675.145 −25.829 −364.326 −14.683 −517.273 3900 −18.415 −450.193 +20.283 −689.975 −25.641 -375.829 −15.473 −540.432 4000 −20.901 −481.302 +20.107 −704.970 −25.735 −388.338 −15.539 −563.571 4100 −22.899 −530.706 +19.930 −719.959 −25.751 −400.117 −15.329 −589.891 4200 −20.175 −574.613 +19.528 −735.700 −25.987 −412.869 −14.226 −611.397 4300 −16.107 −607.497 +18.987 −750.647 −26.349 −424.046 −12.606 −631.788 4400 −12.487 −632.642 +18.248 −764.216 −26.734 −433.978 −10.710 −651.154 4500 −9.908 −655.826 +17.627 −775.099 −26.846 −442.104 −9.069 −671.887 4600 −8.294 −676.352 +17.415 −785.594 −26.704 −451.707 −7.925 −691.567 4700 −7.462 −692.336 +17.300 −797.596 −26.413 −463.172 −7.360 −709.087 4800 −6.742 −707.212 +17.180 −810.719 −26.495 −473.259 −6.944 −725.426 4900 −6.341 −719.044 +16.938 −823.703 −26.376 −485.497 −6.709 −738.970 5000 −5.850 −730.317 +16.723 −836.856 −26.732 −496.442 −6.431 −752.403 5100 −5.683 −740.078 +16.407 −849.613 −26.564 −506.443 −6.520 −764.449 5200 −5.393 −749.333 +16.142 −862.399 −26.637 −518.454 −6.474 −775.847 5300 −5.255 −757.862 +15.797 −874.886 −26.764 −527.731 −6.577 −787.719 5400 −4.941 −766.095 +15.601 −886.816 −26.723 −538.802 −6.816 −798.987 5500 −4.762 −775.169 +15.423 −899.572 −26.813 −550.352 −7.136 −810.139 5600 −4.751 −783.296 +15.212 −912.138 −26.836 −560.482 −7.707 −821.411 5700 −4.718 −791.495 +15.016 −925.031 −26.865 −570.790 −8.420 −832.448 5800 −4.803 −798.324 +14.811 −937.622 −26.711 −581.237 −9.417 −843.000 5900 −4.815 −805.589 +14.640 −950.405 −26.625 −592.240 −10.700 −853.572 6000 −4.846 −812.180 +14.474 −963.642 −26.496 −603.172 −12.335 −863.102 Rev. B | Page 6 of 16 Document Outline FEATURES FUNCTIONAL BLOCK DIAGRAM GENERAL DESCRIPTION REVISION HISTORY SPECIFICATIONS TYPICAL SCATTERING PARAMETERS (S-PARAMETERS) ABSOLUTE MAXIMUM RATINGS THERMAL RESISTANCE ESD CAUTION PIN CONFIGURATION AND FUNCTION DESCRIPTIONS TYPICAL PERFORMANCE CHARACTERISTICS 500 MHz TO 6 GHz FREQUENCY BAND 30 MHz TO 500 MHz FREQUENCY BAND GENERAL APPLICATIONS INFORMATION BASIC CONNECTIONS SOLDERING INFORMATION AND RECOMMENDED PCB LAND PATTERN W-CDMA ACPR PERFORMANCE EVALUATION BOARD OUTLINE DIMENSIONS ORDERING GUIDE