Datasheet ADL5545 (Analog Devices) - 5
| Fabricante | Analog Devices |
| Descripción | 30 MHz to 6 GHz RF/IF Gain Block |
| Páginas / Página | 20 / 5 — Data Sheet. ADL5545. TYPICAL SCATTERING PARAMETERS (S-PARAMETERS). Table … |
| Revisión | A |
| Formato / tamaño de archivo | PDF / 385 Kb |
| Idioma del documento | Inglés |
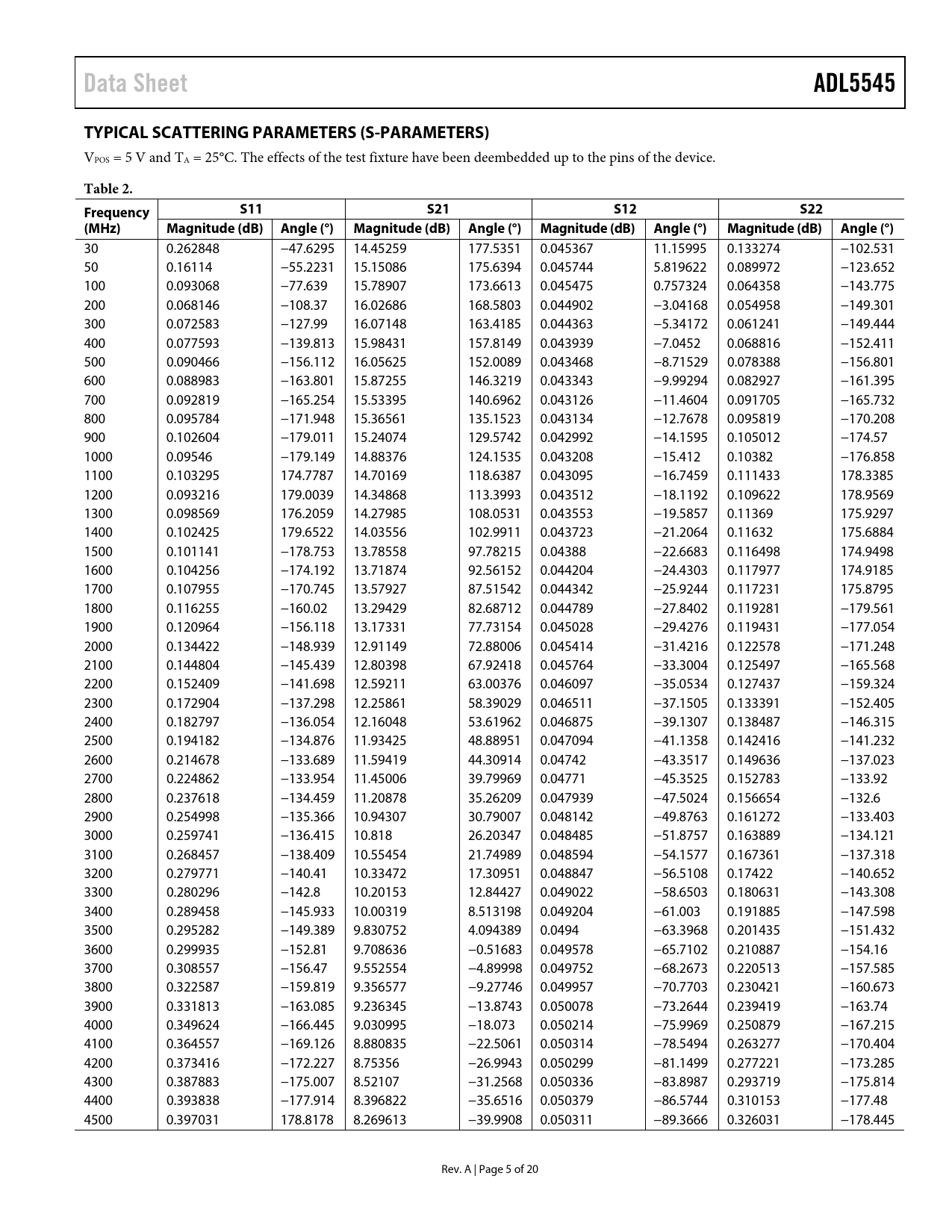
Data Sheet. ADL5545. TYPICAL SCATTERING PARAMETERS (S-PARAMETERS). Table 2. Frequency. S11. S21. S12. S22. (MHz)

Versión de texto del documento
Data Sheet ADL5545 TYPICAL SCATTERING PARAMETERS (S-PARAMETERS)
VPOS = 5 V and TA = 25°C. The effects of the test fixture have been deembedded up to the pins of the device.
Table 2. Frequency S11 S21 S12 S22 (MHz) Magnitude (dB) Angle (°) Magnitude (dB) Angle (°) Magnitude (dB) Angle (°) Magnitude (dB) Angle (°)
30 0.262848 −47.6295 14.45259 177.5351 0.045367 11.15995 0.133274 −102.531 50 0.16114 −55.2231 15.15086 175.6394 0.045744 5.819622 0.089972 −123.652 100 0.093068 −77.639 15.78907 173.6613 0.045475 0.757324 0.064358 −143.775 200 0.068146 −108.37 16.02686 168.5803 0.044902 −3.04168 0.054958 −149.301 300 0.072583 −127.99 16.07148 163.4185 0.044363 −5.34172 0.061241 −149.444 400 0.077593 −139.813 15.98431 157.8149 0.043939 −7.0452 0.068816 −152.411 500 0.090466 −156.112 16.05625 152.0089 0.043468 −8.71529 0.078388 −156.801 600 0.088983 −163.801 15.87255 146.3219 0.043343 −9.99294 0.082927 −161.395 700 0.092819 −165.254 15.53395 140.6962 0.043126 −11.4604 0.091705 −165.732 800 0.095784 −171.948 15.36561 135.1523 0.043134 −12.7678 0.095819 −170.208 900 0.102604 −179.011 15.24074 129.5742 0.042992 −14.1595 0.105012 −174.57 1000 0.09546 −179.149 14.88376 124.1535 0.043208 −15.412 0.10382 −176.858 1100 0.103295 174.7787 14.70169 118.6387 0.043095 −16.7459 0.111433 178.3385 1200 0.093216 179.0039 14.34868 113.3993 0.043512 −18.1192 0.109622 178.9569 1300 0.098569 176.2059 14.27985 108.0531 0.043553 −19.5857 0.11369 175.9297 1400 0.102425 179.6522 14.03556 102.9911 0.043723 −21.2064 0.11632 175.6884 1500 0.101141 −178.753 13.78558 97.78215 0.04388 −22.6683 0.116498 174.9498 1600 0.104256 −174.192 13.71874 92.56152 0.044204 −24.4303 0.117977 174.9185 1700 0.107955 −170.745 13.57927 87.51542 0.044342 −25.9244 0.117231 175.8795 1800 0.116255 −160.02 13.29429 82.68712 0.044789 −27.8402 0.119281 −179.561 1900 0.120964 −156.118 13.17331 77.73154 0.045028 −29.4276 0.119431 −177.054 2000 0.134422 −148.939 12.91149 72.88006 0.045414 −31.4216 0.122578 −171.248 2100 0.144804 −145.439 12.80398 67.92418 0.045764 −33.3004 0.125497 −165.568 2200 0.152409 −141.698 12.59211 63.00376 0.046097 −35.0534 0.127437 −159.324 2300 0.172904 −137.298 12.25861 58.39029 0.046511 −37.1505 0.133391 −152.405 2400 0.182797 −136.054 12.16048 53.61962 0.046875 −39.1307 0.138487 −146.315 2500 0.194182 −134.876 11.93425 48.88951 0.047094 −41.1358 0.142416 −141.232 2600 0.214678 −133.689 11.59419 44.30914 0.04742 −43.3517 0.149636 −137.023 2700 0.224862 −133.954 11.45006 39.79969 0.04771 −45.3525 0.152783 −133.92 2800 0.237618 −134.459 11.20878 35.26209 0.047939 −47.5024 0.156654 −132.6 2900 0.254998 −135.366 10.94307 30.79007 0.048142 −49.8763 0.161272 −133.403 3000 0.259741 −136.415 10.818 26.20347 0.048485 −51.8757 0.163889 −134.121 3100 0.268457 −138.409 10.55454 21.74989 0.048594 −54.1577 0.167361 −137.318 3200 0.279771 −140.41 10.33472 17.30951 0.048847 −56.5108 0.17422 −140.652 3300 0.280296 −142.8 10.20153 12.84427 0.049022 −58.6503 0.180631 −143.308 3400 0.289458 −145.933 10.00319 8.513198 0.049204 −61.003 0.191885 −147.598 3500 0.295282 −149.389 9.830752 4.094389 0.0494 −63.3968 0.201435 −151.432 3600 0.299935 −152.81 9.708636 −0.51683 0.049578 −65.7102 0.210887 −154.16 3700 0.308557 −156.47 9.552554 −4.89998 0.049752 −68.2673 0.220513 −157.585 3800 0.322587 −159.819 9.356577 −9.27746 0.049957 −70.7703 0.230421 −160.673 3900 0.331813 −163.085 9.236345 −13.8743 0.050078 −73.2644 0.239419 −163.74 4000 0.349624 −166.445 9.030995 −18.073 0.050214 −75.9969 0.250879 −167.215 4100 0.364557 −169.126 8.880835 −22.5061 0.050314 −78.5494 0.263277 −170.404 4200 0.373416 −172.227 8.75356 −26.9943 0.050299 −81.1499 0.277221 −173.285 4300 0.387883 −175.007 8.52107 −31.2568 0.050336 −83.8987 0.293719 −175.814 4400 0.393838 −177.914 8.396822 −35.6516 0.050379 −86.5744 0.310153 −177.48 4500 0.397031 178.8178 8.269613 −39.9908 0.050311 −89.3666 0.326031 −178.445 Rev. A | Page 5 of 20 Document Outline Features Functional Block Diagram General Description Revision History Specifications Typical Scattering Parameters (S-Parameters) Absolute Maximum Ratings Thermal Resistance ESD Caution Pin Configuration and Function Descriptions Typical Performance Characteristics 500 MHz to 4 GHz Frequency Band 100 MHz to 500 MHz Frequency Band 4 GHz to 6 GHz Frequency Band General Applications Information Basic Connections Soldering Information and Recommended PCB Land Pattern Operation Down to 30 MHz W-CDMA ACPR Performance Evaluation Board Outline Dimensions Ordering Guide