Datasheet ADL5542 (Analog Devices) - 5
| Fabricante | Analog Devices |
| Descripción | 20 MHz to 6 GHz RF/IF Gain Block |
| Páginas / Página | 13 / 5 — Data Sheet. ADL5542. TYPICAL SCATTERING PARAMETERS. Table 2. Freq. (MHz) … |
| Revisión | C |
| Formato / tamaño de archivo | PDF / 268 Kb |
| Idioma del documento | Inglés |
Data Sheet. ADL5542. TYPICAL SCATTERING PARAMETERS. Table 2. Freq. (MHz) Magnitude (dB) Angle (°). Magnitude (dB) Angle (°)

Línea de modelo para esta hoja de datos
Versión de texto del documento
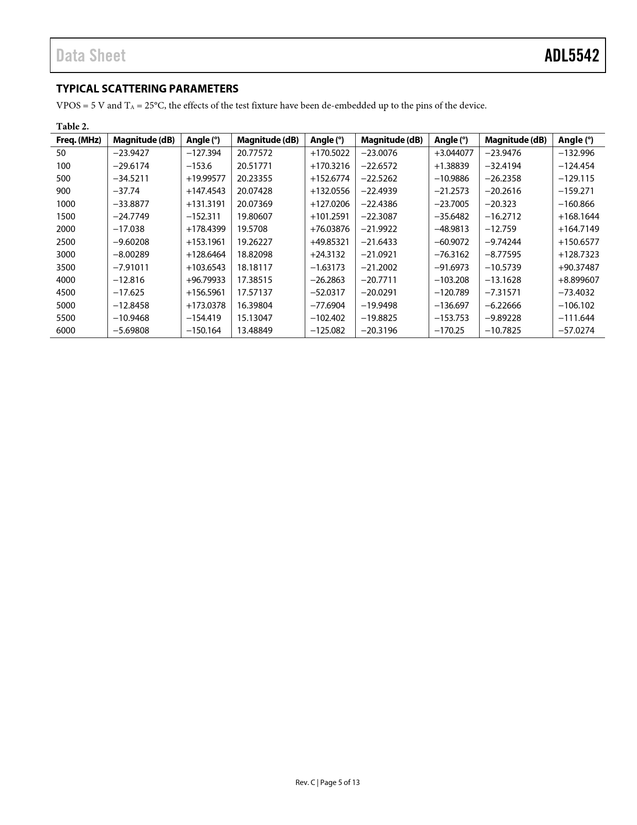
Data Sheet ADL5542 TYPICAL SCATTERING PARAMETERS
VPOS = 5 V and TA = 25°C, the effects of the test fixture have been de-embedded up to the pins of the device.
Table 2. Freq. (MHz) Magnitude (dB) Angle (°) Magnitude (dB) Angle (°) Magnitude (dB) Angle (°) Magnitude (dB) Angle (°)
50 −23.9427 −127.394 20.77572 +170.5022 −23.0076 +3.044077 −23.9476 −132.996 100 −29.6174 −153.6 20.51771 +170.3216 −22.6572 +1.38839 −32.4194 −124.454 500 −34.5211 +19.99577 20.23355 +152.6774 −22.5262 −10.9886 −26.2358 −129.115 900 −37.74 +147.4543 20.07428 +132.0556 −22.4939 −21.2573 −20.2616 −159.271 1000 −33.8877 +131.3191 20.07369 +127.0206 −22.4386 −23.7005 −20.323 −160.866 1500 −24.7749 −152.311 19.80607 +101.2591 −22.3087 −35.6482 −16.2712 +168.1644 2000 −17.038 +178.4399 19.5708 +76.03876 −21.9922 −48.9813 −12.759 +164.7149 2500 −9.60208 +153.1961 19.26227 +49.85321 −21.6433 −60.9072 −9.74244 +150.6577 3000 −8.00289 +128.6464 18.82098 +24.3132 −21.0921 −76.3162 −8.77595 +128.7323 3500 −7.91011 +103.6543 18.18117 −1.63173 −21.2002 −91.6973 −10.5739 +90.37487 4000 −12.816 +96.79933 17.38515 −26.2863 −20.7711 −103.208 −13.1628 +8.899607 4500 −17.625 +156.5961 17.57137 −52.0317 −20.0291 −120.789 −7.31571 −73.4032 5000 −12.8458 +173.0378 16.39804 −77.6904 −19.9498 −136.697 −6.22666 −106.102 5500 −10.9468 −154.419 15.13047 −102.402 −19.8825 −153.753 −9.89228 −111.644 6000 −5.69808 −150.164 13.48849 −125.082 −20.3196 −170.25 −10.7825 −57.0274 Rev. C | Page 5 of 13 Document Outline FEATURES FUNCTIONAL BLOCK DIAGRAM GENERAL DESCRIPTION TABLE OF CONTENTS REVISION HISTORY SPECIFICATIONS TYPICAL SCATTERING PARAMETERS ABSOLUTE MAXIMUM RATINGS ESD CAUTION PIN CONFIGURATION AND FUNCTION DESCRIPTIONS TYPICAL PERFORMANCE CHARACTERISTICS OPERATING TO 20 MHz BASIC CONNECTIONS SOLDERING INFORMATION AND RECOMMENDED PCB LAND PATTERN EVALUATION BOARD OUTLINE DIMENSIONS ORDERING GUIDE