Datasheet ADL5530 (Analog Devices) - 10

FabricanteAnalog Devices
DescripciónDC to 1000 MHz IF Gain Block
Páginas / Página16 / 10 — ADL5530. Data Sheet. 5.0. 4.5. 4.0. ) B. BLACK = +25°C. d (. 3.5. BLUE = …
RevisiónC
Formato / tamaño de archivoPDF / 1.0 Mb
Idioma del documentoInglés

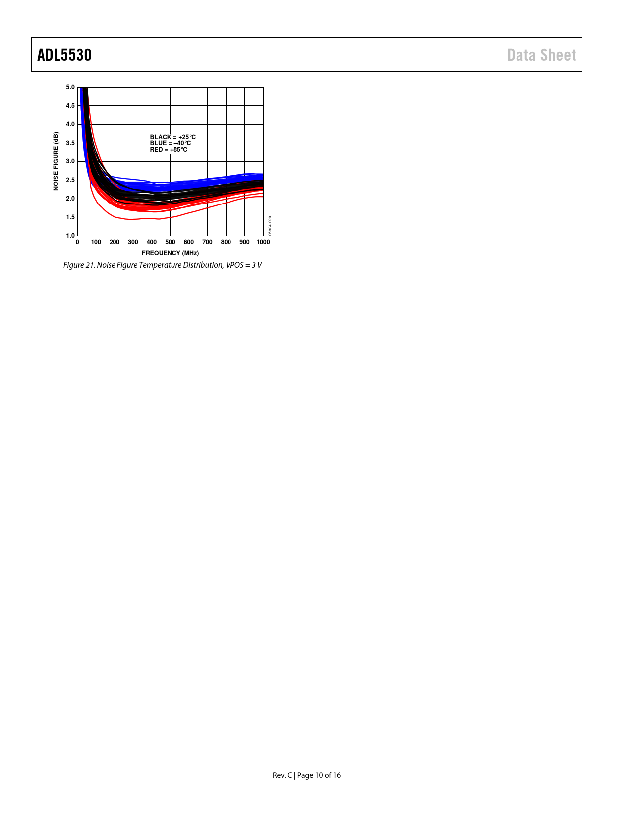
ADL5530. Data Sheet. 5.0. 4.5. 4.0. ) B. BLACK = +25°C. d (. 3.5. BLUE = –40°C RED = +85°C. URE IG. 3.0. F E IS. 2.5. 2.0. 1.5. 1.0. 100. 200. 300. 400. 500. 600

ADL5530 Data Sheet 5.0 4.5 4.0 ) B BLACK = +25°C d ( 3.5 BLUE = –40°C RED = +85°C URE IG 3.0 F E IS 2.5 2.0 1.5 1.0 100 200 300 400 500 600

Línea de modelo para esta hoja de datos

Versión de texto del documento

ADL5530 Data Sheet 5.0 4.5 4.0 ) B BLACK = +25°C d ( 3.5 BLUE = –40°C RED = +85°C URE IG 3.0 F E IS 2.5 NO 2.0 1.5
20 0 4- 583
1.0
0
0 100 200 300 400 500 600 700 800 900 1000 FREQUENCY (MHz)
Figure 21. Noise Figure Temperature Distribution, VPOS = 3 V Rev. C | Page 10 of 16 Document Outline FEATURES APPLICATIONS FUNCTIONAL BLOCK DIAGRAM GENERAL DESCRIPTION REVISION HISTORY SPECIFICATIONS TYPICAL SCATTERING PARAMETERS ABSOLUTE MAXIMUM RATINGS ESD CAUTION PIN CONFIGURATION AND FUNCTION DESCRIPTIONS TYPICAL PERFORMANCE CHARACTERISTICS THEORY OF OPERATION SOLDERING INFORMATION AND RECOMMENDED PCB LAND PATTERN EVALUATION BOARD OUTLINE DIMENSIONS ORDERING GUIDE