Datasheet AD8354 (Analog Devices) - 8

FabricanteAnalog Devices
Descripción1 MHz TO 2.7 GHz RF Gain Block
Páginas / Página16 / 8 — AD8354. Data Sheet. P1dB AT +85°C. P1dB AT 3.3V. P1dB AT +25°C. (dBm). …
RevisiónF
Formato / tamaño de archivoPDF / 366 Kb
Idioma del documentoInglés

AD8354. Data Sheet. P1dB AT +85°C. P1dB AT 3.3V. P1dB AT +25°C. (dBm). 1dB. P1dB (dBm). P1dB AT 3.0V. P1dB AT –40°C. P1dB AT 2.7V. 500. 1000

AD8354 Data Sheet P1dB AT +85°C P1dB AT 3.3V P1dB AT +25°C (dBm) 1dB P1dB (dBm) P1dB AT 3.0V P1dB AT –40°C P1dB AT 2.7V 500 1000

Línea de modelo para esta hoja de datos

Versión de texto del documento

AD8354 Data Sheet 7 6 P1dB AT +85°C 6 P1dB AT 3.3V 5 5 4 4 P1dB AT +25°C (dBm) 3 (dBm) 3 1dB 1dB P P1dB (dBm) P1dB AT 3.0V P 2 P1dB AT –40°C 2 P1dB AT 2.7V 1 1 0 –1 0 0 500 1000 1500 2000 2500 3000
02722-008
0 500 1000 1500 2000 2500 3000
02722-011
FREQUENCY (MHz) FREQUENCY (MHz)
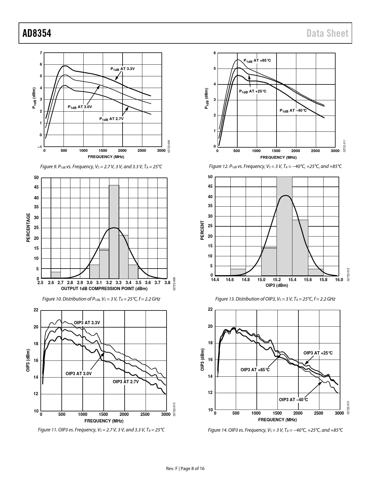
Figure 9. P1dB vs. Frequency, VS = 2.7 V, 3 V, and 3.3 V, TA = 25°C Figure 12. P1dB vs. Frequency, VS = 3 V, TA = −40°C, +25°C, and +85°C
50 50 45 45 40 40 35 35 30 30 25 25 20 20 PERCENT PERCENTAGE 15 15 10 10 5 5 0 0 14.4 14.6 14.8 15.0 15.2 15.4 15.6 15.8 16.0
02722-012
2.5 2.6 2.7 2.8 2.9 3.0 3.1 3.2 3.3 3.4 3.5 3.6 3.7 3.8 OIP3 (dBm) OUTPUT 1dB COMPRESSION POINT (dBm)
02722-009 Figure 10. Distribution of P1dB, VS = 3 V, TA = 25°C, f = 2.2 GHz Figure 13. Distribution of OIP3, VS = 3 V, TA = 25°C, f = 2.2 GHz
22 22 OIP3 AT 3.3V 20 20 18 18 OIP3 AT +25°C 16 16 OIP3 (dBm) OIP3 (dBm) OIP3 AT +85°C OIP3 AT 3.0V 14 14 OIP3 AT 2.7V 12 12 OIP3 AT –40°C 10 10 0 500 1000 1500 2000 2500 3000 0 500 1000 1500 2000 2500 3000
02722-013 02722-010
FREQUENCY (MHz) FREQUENCY (MHz)
Figure 11. OIP3 vs. Frequency, VS = 2.7 V, 3 V, and 3.3 V, TA = 25°C Figure 14. OIP3 vs. Frequency, VS = 3 V, TA = −40°C, +25°C, and +85°C Rev. F | Page 8 of 16 Document Outline FEATURES APPLICATIONS FUNCTIONAL BLOCK DIAGRAM GENERAL DESCRIPTION REVISION HISTORY SPECIFICATIONS ABSOLUTE MAXIMUM RATINGS ESD CAUTION PIN CONFIGURATION AND FUNCTION DESCRIPTIONS TYPICAL PERFORMANCE CHARACTERISTICS THEORY OF OPERATION BASIC CONNECTIONS APPLICATIONS INFORMATION LOW FREQUENCY APPLICATIONS BELOW 100 MHz EVALUATION BOARD OUTLINE DIMENSIONS ORDERING GUIDE