Datasheet ADUM6132 (Analog Devices) - 9

FabricanteAnalog Devices
DescripciónIsolated Half-Bridge Driver with Integrated Isolated High-Side Supply
Páginas / Página16 / 9 — Data Sheet. ADuM6132. VDDA = 17V. V (. mA) ( NT. OLTA. T V U. VDDA = …
RevisiónB
Formato / tamaño de archivoPDF / 318 Kb
Idioma del documentoInglés

Data Sheet. ADuM6132. VDDA = 17V. V (. mA) ( NT. OLTA. T V U. VDDA = 12.5V. CURRE. I DDA. DDA = 15V. 200. 400. 600. 800. 1000. 100. 150. 250

Data Sheet ADuM6132 VDDA = 17V V ( mA) ( NT OLTA T V U VDDA = 12.5V CURRE I DDA DDA = 15V 200 400 600 800 1000 100 150 250

Línea de modelo para esta hoja de datos

Versión de texto del documento

Data Sheet ADuM6132 6 4 5 VDDA = 17V ) 3 V ( 4 GE mA) ( NT OLTA 3 2 T V U VDDA = 12.5V CURRE TP 2 V I DDA DDA = 15V OU OL 1 V 1 0 0 0 200 400 600 800 1000
030
0 50 100 150 200 250
033
V
07393-
OA DATA FREQUENCY (kHz) I
07393-
OL (mA)
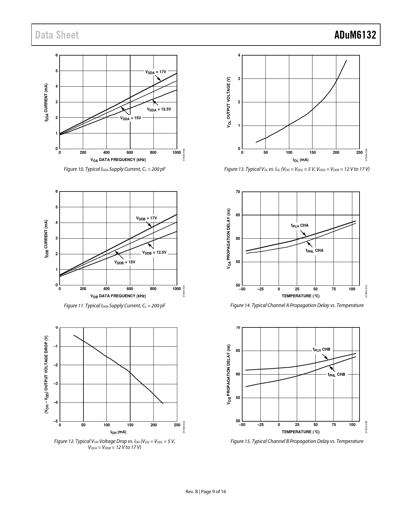
Figure 10. Typical IDDA Supply Current, CL = 200 pF Figure 13. Typical VOL vs. IOL (VDD = VDDL = 5 V, VDDA = VDDB = 12 V to 17 V)
6 70 5 s) n ( 65 VDDB = 17V 4 AY L mA) t ( PLH CHA NT N DE 3 IO 60 AT CURRE AG P tPHL CHA 2 VDDB = 12.5V I DDB RO V P DDB = 15V 55 OAV 1 0 50 0 200 400 600 800 1000
031
–50 –25 0 25 50 75 100
034
V
07393-
OB DATA FREQUENCY (kHz) TEMPERATURE (°C)
07393- Figure 11. Typical IDDB Supply Current, CL = 200 pF Figure 14. Typical Channel A Propagation Delay vs. Temperature
0 70 ) V ( OP –1 s) R n t ( 65 PLH CHB D AY GE L –2 OLTA N DE IO T V 60 tPHL CHB U AT TP –3 AG P ) OU RO DD P 55 –4 OB – V V OH (V –5 50 0 50 100 150 200 250
032
–50 –25 0 25 50 75 100
035
I
07393-
OH (mA) TEMPERATURE (°C)
07393- Figure 12. Typical VOH Voltage Drop vs. IOH (VDD = VDDL = 5 V, Figure 15. Typical Channel B Propagation Delay vs. Temperature VDDA = VDDB = 12 V to 17 V) Rev. B | Page 9 of 16 Document Outline Features Applications General Description Functional Block Diagram Table of Contents Revision History Specifications Electrical Characteristics Package Characteristics Regulatory Information Insulation and Safety-Related Specifications DIN V VDE V 0884-10 (VDE V 0884-10) Insulation Characteristics Recommended Operation Conditions Absolute Maximum Values ESD Caution Pin Configuration and Function Descriptions Typical Performance Characteristics Terminology Applications Information Typical Application Usage PCB Layout Thermal Analysis Undervoltage Lockout Propagation Delay-Related Parameters Magnetic Field Immunity Insulation Lifetime Outline Dimensions Ordering Guide