Datasheet VERSA-PAC (Eaton) - 2
| Fabricante | Eaton |
| Descripción | Inductors and Transformers (Surface Mount) |
| Páginas / Página | 9 / 2 — Product specifications. Leakage. Thermal. Part (1). L(BASE). I T(BASE). … |
| Formato / tamaño de archivo | PDF / 1.4 Mb |
| Idioma del documento | Inglés |
Product specifications. Leakage. Thermal. Part (1). L(BASE). I T(BASE). RMS. (BASE). R B. ( ASE) Volt-µSEC(BASE) EPEAK(BASE). Inductance

Línea de modelo para esta hoja de datos
Versión de texto del documento
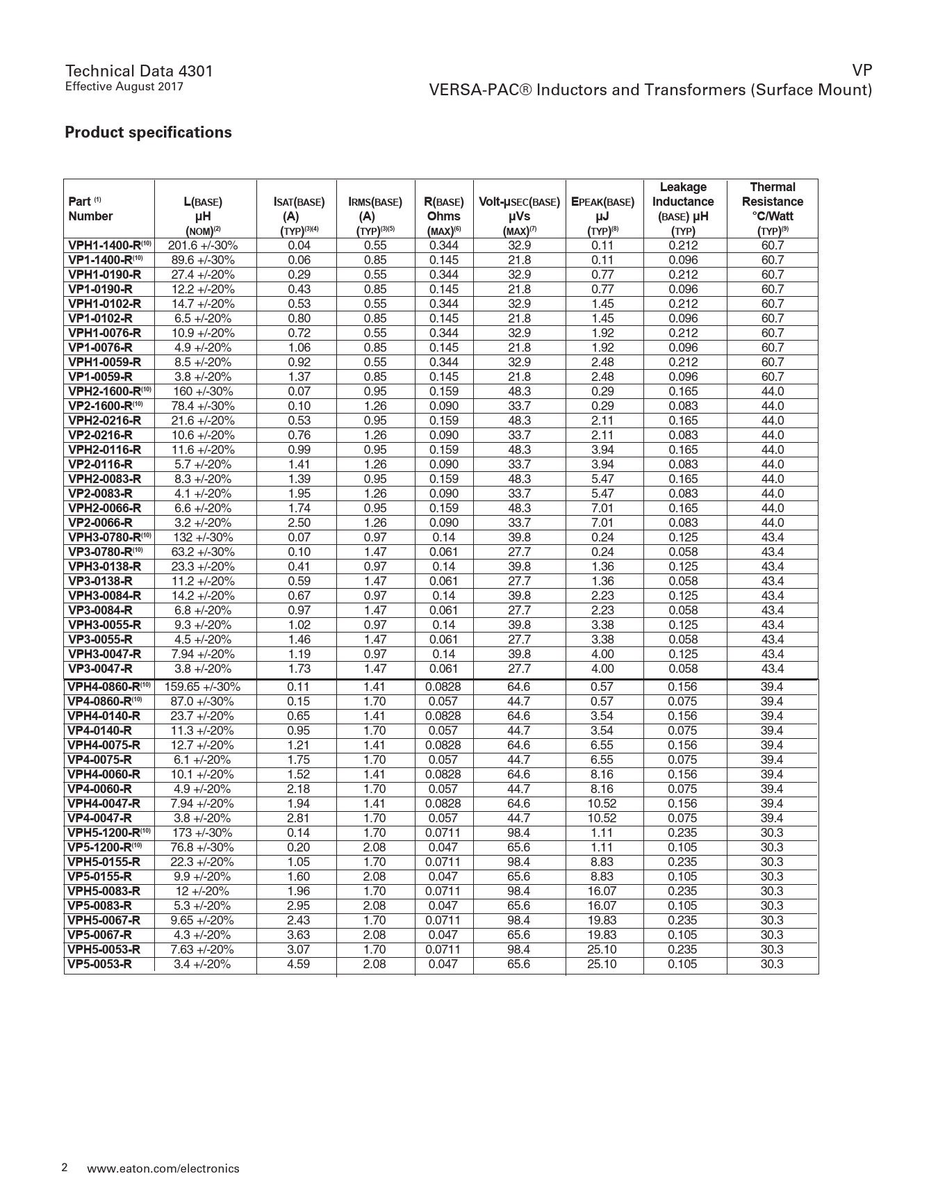
Technical Data 4301 VP Effective August 2017 VERSA-PAC® Inductors and Transformers (Surface Mount)
Product specifications Leakage Thermal Part (1) L(BASE) SA I T(BASE) RMS I (BASE) R B ( ASE) Volt-µSEC(BASE) EPEAK(BASE) Inductance Resistance Number µH (A) (A) Ohms µVs µJ (BASE) µH °C/Watt (NOM)(2) (TYP)(3)(4) (TYP)(3)(5) (MAX)(6) (MAX)(7) (TYP)(8) (TYP) (TYP)(9) VPH1-1400-R(10)
201.6 +/-30% 0.04 0.55 0.344 32.9 0.11 0.212 60.7
VP1-1400-R(10)
89.6 +/-30% 0.06 0.85 0.145 21.8 0.11 0.096 60.7
VPH1-0190-R
27.4 +/-20% 0.29 0.55 0.344 32.9 0.77 0.212 60.7
VP1-0190-R
12.2 +/-20% 0.43 0.85 0.145 21.8 0.77 0.096 60.7
VPH1-0102-R
14.7 +/-20% 0.53 0.55 0.344 32.9 1.45 0.212 60.7
VP1-0102-R
6.5 +/-20% 0.80 0.85 0.145 21.8 1.45 0.096 60.7
VPH1-0076-R
10.9 +/-20% 0.72 0.55 0.344 32.9 1.92 0.212 60.7
VP1-0076-R
4.9 +/-20% 1.06 0.85 0.145 21.8 1.92 0.096 60.7
VPH1-0059-R
8.5 +/-20% 0.92 0.55 0.344 32.9 2.48 0.212 60.7
VP1-0059-R
3.8 +/-20% 1.37 0.85 0.145 21.8 2.48 0.096 60.7
VPH2-1600-R(10)
160 +/-30% 0.07 0.95 0.159 48.3 0.29 0.165 44.0
VP2-1600-R(10)
78.4 +/-30% 0.10 1.26 0.090 33.7 0.29 0.083 44.0
VPH2-0216-R
21.6 +/-20% 0.53 0.95 0.159 48.3 2.11 0.165 44.0
VP2-0216-R
10.6 +/-20% 0.76 1.26 0.090 33.7 2.11 0.083 44.0
VPH2-0116-R
11.6 +/-20% 0.99 0.95 0.159 48.3 3.94 0.165 44.0
VP2-0116-R
5.7 +/-20% 1.41 1.26 0.090 33.7 3.94 0.083 44.0
VPH2-0083-R
8.3 +/-20% 1.39 0.95 0.159 48.3 5.47 0.165 44.0
VP2-0083-R
4.1 +/-20% 1.95 1.26 0.090 33.7 5.47 0.083 44.0
VPH2-0066-R
6.6 +/-20% 1.74 0.95 0.159 48.3 7.01 0.165 44.0
VP2-0066-R
3.2 +/-20% 2.50 1.26 0.090 33.7 7.01 0.083 44.0
VPH3-0780-R(10)
132 +/-30% 0.07 0.97 0.14 39.8 0.24 0.125 43.4
VP3-0780-R(10)
63.2 +/-30% 0.10 1.47 0.061 27.7 0.24 0.058 43.4
VPH3-0138-R
23.3 +/-20% 0.41 0.97 0.14 39.8 1.36 0.125 43.4
VP3-0138-R
11.2 +/-20% 0.59 1.47 0.061 27.7 1.36 0.058 43.4
VPH3-0084-R
14.2 +/-20% 0.67 0.97 0.14 39.8 2.23 0.125 43.4
VP3-0084-R
6.8 +/-20% 0.97 1.47 0.061 27.7 2.23 0.058 43.4
VPH3-0055-R
9.3 +/-20% 1.02 0.97 0.14 39.8 3.38 0.125 43.4
VP3-0055-R
4.5 +/-20% 1.46 1.47 0.061 27.7 3.38 0.058 43.4
VPH3-0047-R
7.94 +/-20% 1.19 0.97 0.14 39.8 4.00 0.125 43.4
VP3-0047-R
3.8 +/-20% 1.73 1.47 0.061 27.7 4.00 0.058 43.4
VPH4-0860-R(10)
159.65 +/-30% 0.11 1.41 0.0828 64.6 0.57 0.156 39.4
VP4-0860-R(10)
87.0 +/-30% 0.15 1.70 0.057 44.7 0.57 0.075 39.4
VPH4-0140-R
23.7 +/-20% 0.65 1.41 0.0828 64.6 3.54 0.156 39.4
VP4-0140-R
11.3 +/-20% 0.95 1.70 0.057 44.7 3.54 0.075 39.4
VPH4-0075-R
12.7 +/-20% 1.21 1.41 0.0828 64.6 6.55 0.156 39.4
VP4-0075-R
6.1 +/-20% 1.75 1.70 0.057 44.7 6.55 0.075 39.4
VPH4-0060-R
10.1 +/-20% 1.52 1.41 0.0828 64.6 8.16 0.156 39.4
VP4-0060-R
4.9 +/-20% 2.18 1.70 0.057 44.7 8.16 0.075 39.4
VPH4-0047-R
7.94 +/-20% 1.94 1.41 0.0828 64.6 10.52 0.156 39.4
VP4-0047-R
3.8 +/-20% 2.81 1.70 0.057 44.7 10.52 0.075 39.4
VPH5-1200-R(10)
173 +/-30% 0.14 1.70 0.0711 98.4 1.11 0.235 30.3
VP5-1200-R(10)
76.8 +/-30% 0.20 2.08 0.047 65.6 1.11 0.105 30.3
VPH5-0155-R
22.3 +/-20% 1.05 1.70 0.0711 98.4 8.83 0.235 30.3
VP5-0155-R
9.9 +/-20% 1.60 2.08 0.047 65.6 8.83 0.105 30.3
VPH5-0083-R
12 +/-20% 1.96 1.70 0.0711 98.4 16.07 0.235 30.3
VP5-0083-R
5.3 +/-20% 2.95 2.08 0.047 65.6 16.07 0.105 30.3
VPH5-0067-R
9.65 +/-20% 2.43 1.70 0.0711 98.4 19.83 0.235 30.3
VP5-0067-R
4.3 +/-20% 3.63 2.08 0.047 65.6 19.83 0.105 30.3
VPH5-0053-R
7.63 +/-20% 3.07 1.70 0.0711 98.4 25.10 0.235 30.3
VP5-0053-R
3.4 +/-20% 4.59 2.08 0.047 65.6 25.10 0.105 30.3 2 www.eaton.com/electronics