Datasheet ICM7555 (NXP) - 7
| Fabricante | NXP |
| Descripción | General purpose CMOS timer |
| Páginas / Página | 22 / 7 — NXP Semiconductors. ICM7555. General purpose CMOS timer. Fig 7. Low … |
| Formato / tamaño de archivo | PDF / 125 Kb |
| Idioma del documento | Inglés |
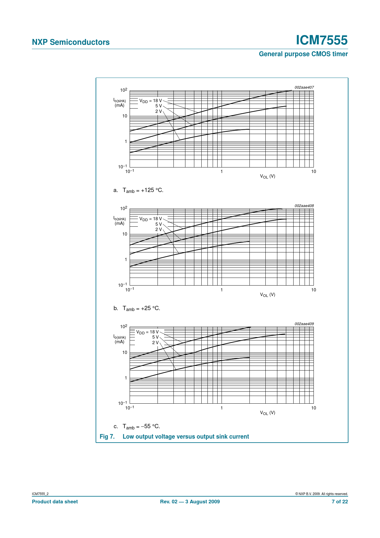
NXP Semiconductors. ICM7555. General purpose CMOS timer. Fig 7. Low output voltage versus output sink current. Product data sheet

Línea de modelo para esta hoja de datos
ICM7555
- ICM7555CD ICM7555CD,602 ICM7555CD,623 ICM7555CD/01,112 ICM7555CD/01,118 ICM7555CN ICM7555CN,602 ICM7555CN/01,112 ICM7555ID ICM7555ID,602 ICM7555ID,623 ICM7555ID/01,112 ICM7555ID/01,118 ICM7555ID/DG,112 ICM7555IN ICM7555IN/01,112
Versión de texto del documento
NXP Semiconductors ICM7555 General purpose CMOS timer
002aae407 102 Io(sink) VDD = 18 V (mA) 5 V 2 V 10 1 10−1 10−1 1 10 VOL (V) a. Tamb = +125 °C. 002aae408 102 Io(sink) VDD = 18 V (mA) 5 V 2 V 10 1 10−1 10−1 1 10 VOL (V) b. Tamb = +25 °C. 002aae409 102 VDD = 18 V Io(sink) 5 V (mA) 2 V 10 1 10−1 10−1 1 10 VOL (V) c. Tamb = −55 °C.
Fig 7. Low output voltage versus output sink current
ICM7555_2 © NXP B.V. 2009. All rights reserved.
Product data sheet Rev. 02 — 3 August 2009 7 of 22
Document Outline 1. General description 2. Features 3. Applications 4. Ordering information 5. Functional diagram 6. Pinning information 6.1 Pinning 6.2 Pin description 7. Functional description 7.1 Function selection 8. Limiting values 9. Characteristics 10. Typical performance curves 11. Application information 11.1 General 11.2 Power supply considerations 11.3 Output drive capability 11.4 Astable operation 11.5 Monostable operation 11.6 Control voltage 11.7 RESET 12. Package outline 13. Soldering of SMD packages 13.1 Introduction to soldering 13.2 Wave and reflow soldering 13.3 Wave soldering 13.4 Reflow soldering 14. Soldering of through-hole mount packages 14.1 Introduction to soldering through-hole mount packages 14.2 Soldering by dipping or by solder wave 14.3 Manual soldering 14.4 Package related soldering information 15. Abbreviations 16. Revision history 17. Legal information 17.1 Data sheet status 17.2 Definitions 17.3 Disclaimers 17.4 Trademarks 18. Contact information 19. Contents