Datasheet ADL5306 (Analog Devices) - 8

FabricanteAnalog Devices
Descripción60 dB-RANGE (100 nA-100 µA) Low-Cost Logarithmic Converter
Páginas / Página16 / 8 — 100nA. 100. Av = 1. SE (. SE ( –5. Av = 5. –10. ESPON. R –15. R –10. IZED …
Formato / tamaño de archivoPDF / 2.2 Mb
Idioma del documentoInglés

100nA. 100. Av = 1. SE (. SE ( –5. Av = 5. –10. ESPON. R –15. R –10. IZED –20. IZED. Av = 2. A –15. M –25. Av = 2.5. N –30. N –20. –35. –40. –25. 10k. 100k. 10M. 100M

100nA 100 Av = 1 SE ( SE ( –5 Av = 5 –10 ESPON R –15 R –10 IZED –20 IZED Av = 2 A –15 M –25 Av = 2.5 N –30 N –20 –35 –40 –25 10k 100k 10M 100M

Línea de modelo para esta hoja de datos

Versión de texto del documento

ADL5306
10 5 5 100nA 0 ) 0 ) B B d 100
µ
A d –5 Av = 1 SE ( SE ( –5 Av = 5 –10 ESPON ESPON R –15 R –10 10
µ
A IZED –20 IZED L L Av = 2 A A –15 M –25 M OR 1
µ
A OR Av = 2.5 N –30 N –20 –35 –40 –25 100 1k 10k 100k 1M 10M 100M 10k 100k 1M 10M 100M FREQUENCY (Hz) 03727-0-015 FREQUENCY (Hz) 03727-0-018
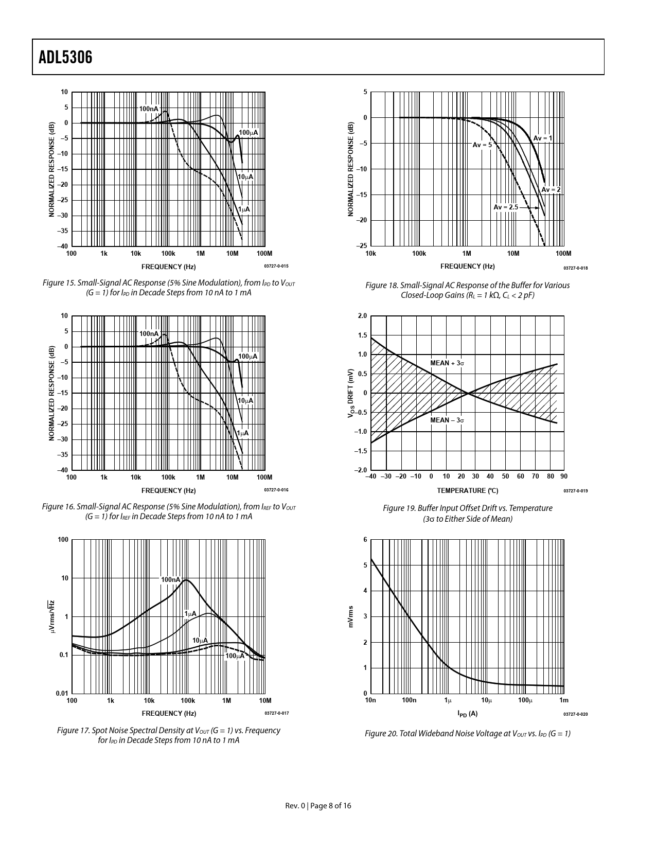
Figure 15. Small-Signal AC Response (5% Sine Modulation), from IPD to VOUT Figure 18. Small-Signal AC Response of the Buffer for Various (G = 1) for IPD in Decade Steps from 10 nA to 1 mA Closed-Loop Gains (RL = 1 kΩ, CL < 2 pF)
10 2.0 5 100nA 1.5 ) 0 B d 100
µ
A 1.0 –5 MEAN + 3
σ
SE ( ) 0.5 –10 ESPON R –15 0 10
µ
A DRIFT (mV IZED –20 L OS–0.5 A V MEAN – 3
σ
M –25 OR 1
µ
A –1.0 N –30 –1.5 –35 –40 –2.0 100 1k 10k 100k 1M 10M 100M –40 –30 –20 –10 0 10 20 30 40 50 60 70 80 90 FREQUENCY (Hz) 03727-0-016 TEMPERATURE (°C) 03727-0-019
Figure 16. Small-Signal AC Response (5% Sine Modulation), from IREF to VOUT Figure 19. Buffer Input Offset Drift vs. Temperature (G = 1) for IREF in Decade Steps from 10 nA to 1 mA (3σ to Either Side of Mean)
100 6 5 10 100nA 4 1 1
µ
A 3 mVrms
µ
Vrms/ Hz 10
µ
A 2 0.1 100
µ
A 1 0.01 0 100 1k 10k 100k 1M 10M 10n 100n 1
µ
10
µ
100
µ
1m FREQUENCY (Hz) 03727-0-017 I PD (A) 03727-0-020
Figure 17. Spot Noise Spectral Density at VOUT (G = 1) vs. Frequency Figure 20. Total Wideband Noise Voltage at VOUT vs. IPD (G = 1) for IPD in Decade Steps from 10 nA to 1 mA Rev. 0 | Page 8 of 16 Document Outline FEATURES APPLICATIONS GENERAL DESCRIPTION FUNCTIONAL BLOCK DIAGRAM TABLE OF CONTENTS SPECIFICATIONS ABSOLUTE MAXIMUM RATINGS PIN CONFIGURATION AND PIN FUNCTION DESCRIPTIONS TYPICAL PERFORMANCE CHARACTERISTICS GENERAL STRUCTURE THEORY MANAGING INTERCEPT AND SLOPE RESPONSE TIME AND NOISE CONSIDERATIONS APPLICATIONS USING A NEGATIVE SUPPLY CHARACTERIZATION METHODS EVALUATION BOARD OUTLINE DIMENSIONS ORDERING GUIDE