Datasheet AP7343Q (Diodes) - 10
| Fabricante | Diodes |
| Descripción | Automotive Compliant 300MA High Psrr Low Noise Ldo With Enable |
| Páginas / Página | 16 / 10 — AP7343Q. Typical Characteristics. www.diodes.com |
| Formato / tamaño de archivo | PDF / 1.3 Mb |
| Idioma del documento | Inglés |
AP7343Q. Typical Characteristics. www.diodes.com

Línea de modelo para esta hoja de datos
Versión de texto del documento
AP7343Q Typical Characteristics
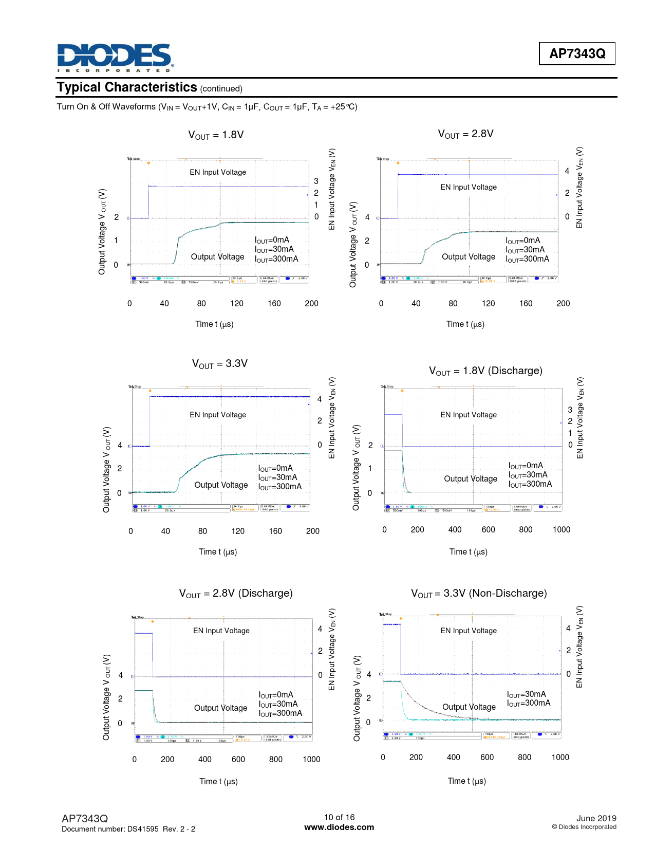
(continued) Turn On & Off Waveforms (VIN = VOUT+1V, CIN = 1μF, COUT = 1μF, TA = +25°C) V V OUT = 1.8V OUT = 2.8V ) V)(V V ( V)EN( EN CE Input Voltage CE V EN Input Voltage VV 4 e e CE 3 g g V ge alta CE E Inp N In u p t u V t o V lt o a lt ge lta o V) lto ge ( 2 2 V a oV t lt T Vt U 1 tu V) u o p O up ( V T t V 2 0 np U 4 0 u e I N In O N In E E npI ag E t C V e E ol 1 IOUT=0mA 2 IOUT=0mA C V ag I t OUT=30mA I ut OUT=30mA Output Voltage ol p Output Voltage t IOUT=300mA V IOUT=300mA 0 ut 0 Ou pt Ou 0 40 80 120 160 200 0 40 80 120 160 200 Time t (µs) Time t (µs) VOUT = 3.3V VOUT = 1.8V (Discharge) V V) ( V ( V) EN CE EN ( 4 V V V e e CE g 3 g V C E E Inp N Inp u u t t V V o o lt lt a a ge ge ge lta a C E E Inpu N Inpu t t V V o o lt lt a a ge ge lta 2 o lt 2 o ge V o V a V) t V V) t lt ( u ( 1 u o t T p T p V U U 4 0 2 t 0 O npuN InI O N In V E E V E npuI C IOUT=0mA E age 2 I age 1 t OUT=0mA t C I ol I OUT=30mA OUT=30mA ol Output Voltage V V Output Voltage I IOUT=300mA OUT=300mA ut 0 ut 0 p p Out Out 0 40 80 120 160 200 0 200 400 600 800 1000 Time t (µs) Time t (µs) V V OUT = 2.8V (Discharge) OUT = 3.3V (non-Discharge) OUT = 3.3V (Non-Discharge) V)V V( V) ( EN EN CE CE E Inp N In u p t u V t o V ltage 4 V CE CE V E Inpu N Input t V V o o lt lt a a ge ge 4 V e V e g g ge ge lta a lta 2 a o lt o lt 2 o V V) V o t V ( t V) V ( u t T u t T p u U p U O 4 0 0 O 4 npIN In V npu N In I E E e V E E C I ag IOUT=0mA OUT=30mA t 2 C aget 2 ol I I Output Voltage OUT=30mA ol Output Voltage OUT=300mA V IOUT=300mA V ut p 0 ut 0 t p Ou Out 0 200 400 600 800 1000 0 200 400 600 800 1000 Time t (µs) Time t (µs) AP7343Q 10 of 16 June 2019 Document number: DS41595 Rev. 2 - 2
www.diodes.com
© Diodes Incorporated