Datasheet IRLHM620PbF (Infineon) - 3
| Fabricante | Infineon |
| Descripción | HEXFET Power MOSFET |
| Páginas / Página | 9 / 3 — Fig 1. Fig 2. Fig 3. Fig 4. Fig 5. Fig 6 |
| Formato / tamaño de archivo | PDF / 542 Kb |
| Idioma del documento | Inglés |
Fig 1. Fig 2. Fig 3. Fig 4. Fig 5. Fig 6

Línea de modelo para esta hoja de datos
Versión de texto del documento
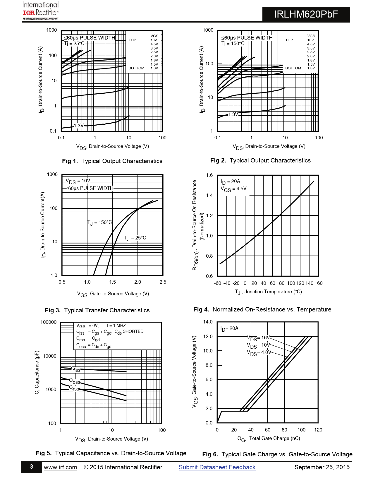
IRLHM620PbF 1000 1000 VGS 60µs PULSE WIDTH 60µs PULSE WIDTH VGS TOP 10V TOP 10V Tj = 25°C Tj = 150°C ) 4.5V ) 4.5V A 3.5V 3.5V ( A ( t 2.5V 2.5V 100 t n 2.0V n 2.0V er e r 1.8V rr 1.8V u 1.5V 100 u 1.5V C BOTTOM 1.3V C BOTTOM 1.3V ec e r cr u 10 u o o S- S- ot o - t- ni ni a 10 r ar D 1 D , I D I D 1.3V 1.3V 0.1 1 0.1 1 10 100 0.1 1 10 100 VDS, Drain-to-Source Voltage (V) VDS, Drain-to-Source Voltage (V)
Fig 1.
Typical Output Characteristics
Fig 2.
Typical Output Characteristics 1000 1.6 V DS = 10V ec ID = 20A 60µs PULSE WIDTH na V ) t GS = 4.5V A si ( t s 1.4 n e e R r r 100 n u O C e ) e d 1.2 c c r e r u z u T o il o J = 150°C S a S - - o mr o t t - o - 1.0 n n T i N i ( 10 J = 25°C a a r r D D , ) I D no 0.8 ( S D R 1.0 0.6 0.5 1.0 1.5 2.0 2.5 -60 -40 -20 0 20 40 60 80 100 120 140 160 V T GS, Gate-to-Source Voltage (V) J , Junction Temperature (°C)
Fig 3.
Typical Transfer Characteristics
Fig 4.
Normalized On-Resistance vs. Temperature 100000 14.0 VGS = 0V, f = 1 MHZ I C D= 20A iss = Cgs + Cgd, Cds SHORTED ) C 12.0 rss = Cgd V( V DS= 16V Coss = Cds + Cgd eg VDS= 10V ) at 10.0 F l V p 10000 o DS= 4.0V ( V e c e n c 8.0 r a C t u i iss o ca S- p o 6.0 a Coss t- C e , t 1000 Crss a C G 4.0 , SGV 2.0 100 0.0 1 10 100 0 20 40 60 80 100 120 VDS, Drain-to-Source Voltage (V) QG, Total Gate Charge (nC)
Fig 5.
Typical Capacitance vs. Drain-to-Source Voltage
Fig 6.
Typical Gate Charge vs. Gate-to-Source Voltage 3 www.irf.com © 2015 International Rectifier Submit Datasheet Feedback September 25, 2015