Datasheet AOK065V120X2 (Alpha & Omega) - 5
| Fabricante | Alpha & Omega |
| Descripción | 1200V αSiC Silicon Carbide Power MOSFET |
| Páginas / Página | 9 / 5 — ALPHA & OMEGA. AOK065V120X2. Typical Electrical and Thermal … |
| Formato / tamaño de archivo | PDF / 2.3 Mb |
| Idioma del documento | Inglés |
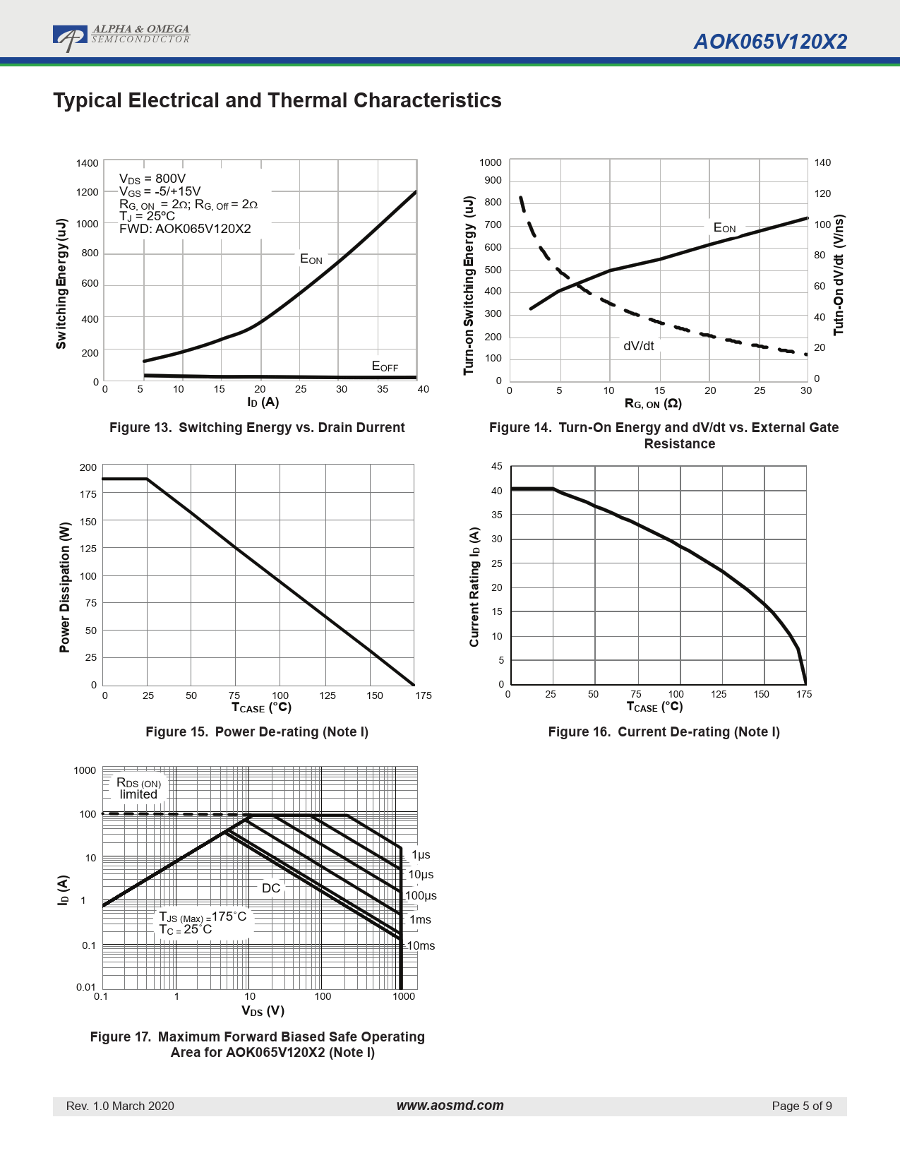
ALPHA & OMEGA. AOK065V120X2. Typical Electrical and Thermal Characteristics. n dV/dt (V/ns). itching Energy (uJ). n Sw. Tutn-O

Línea de modelo para esta hoja de datos
Versión de texto del documento
ALPHA & OMEGA
S E M I C O N D U C T O R
AOK065V120X2 Typical Electrical and Thermal Characteristics
1400 1000 140 VDS = 800V 900 1200 VGS = -5/+15V 120 RG, ON = 2Ω; RG, Off = 2Ω 800 TJ = 25ºC 1000 FWD: AOK065V120X2 700 EON 100 800 600 EON 80 500 600 60 400
n dV/dt (V/ns) itching Energy (uJ)
400 300
itching Energy (uJ)
40
n Sw Tutn-O Sw
200 dV/dt 200 20 E 100 OFF
Turn-o
0 0 0 0 5 10 15 20 25 30 35 40 0 5 10 15 20 25 30
ID (A) RG, ON (Ω) Figure 13. Switching Energy vs. Drain Durrent Figure 14. Turn-On Energy and dV/dt vs. External Gate Resistance
200 45 175 40 35 150 30 125
(A)D
25 100 20 75 15 50 10
Power Dissipation (W) Current Rating I
25 5 0 0 0 25 50 75 100 125 150 175 0 25 50 75 100 125 150 175
TCASE (°C) TCASE (°C) Figure 15. Power De-rating (Note I) Figure 16. Current De-rating (Note I)
1000 RDS (ON) limited 100 10 1µs 10µs DC
(A)
100µs 1
ID
TJS (Max) =175˚C 1ms TC = 25˚C ° 0.1 10ms 0.010.1 1 10 100 1000
VDS (V) Figure 17. Maximum Forward Biased Safe Operating Area for AOK065V120X2 (Note I)
Rev. 1.0 March 2020
www.aosmd.com
Page 5 of 9