Datasheet HT75Hxx (Holtek) - 8

FabricanteHoltek
Descripción40V, 150mA TinyPower LDO with Protections
Páginas / Página24 / 8 — HT75Hxx. Output Voltage vs Output Current (RMS). Dropout Voltage vs …
Formato / tamaño de archivoPDF / 1.7 Mb
Idioma del documentoInglés

HT75Hxx. Output Voltage vs Output Current (RMS). Dropout Voltage vs Output Current. VOUT vs IOUT: HT75H21

HT75Hxx Output Voltage vs Output Current (RMS) Dropout Voltage vs Output Current VOUT vs IOUT: HT75H21

Línea de modelo para esta hoja de datos

Versión de texto del documento

HT75Hxx
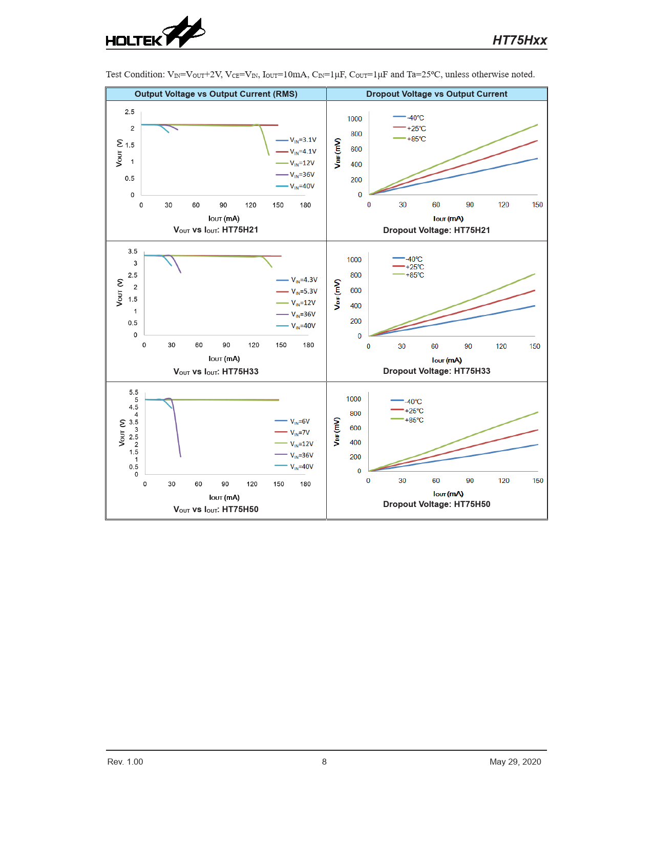
Test Condition: VIN=VOUT+2V, VCE=VIN, IOUT=10mA, CIN=1μF, COUT=1μF and Ta=25ºC, unless otherwise noted.
Output Voltage vs Output Current (RMS) Dropout Voltage vs Output Current VOUT vs IOUT: HT75H21 Dropout Voltage: HT75H21 VOUT vs IOUT: HT75H33 Dropout Voltage: HT75H33 VOUT vs IOUT: HT75H50 Dropout Voltage: HT75H50
Rev. 1.00 8 May 29, 2020 Document Outline Features Applications General Description Selection Table Block Diagram Pin Assignment Pin Descriptions Absolute Maximum Ratings Recommended Operating Range Electrical Characteristics Typical Performance Characteristic Application Information Power-on Considerations OCP and OTP Protections Fast Output Discharging Function Input Capacitor CIN Consideration Output Capacitor COUT Considerations Thermal Considerations Power Dissipation Calculation Application Circuits Basic Circuits High Output Current Positive Voltage Regulator Short-Circuit Protection by Tr1 Increasing Output Voltage Circuits Constant Current Regulator Dual Supply Package Information 3-pin SOT89-3 Outline Dimensions 5-pin SOT23-5 Outline Dimensions 8-pin SOP-EP (150mil) Outline Dimensions