Datasheet UF4001, UF4002, UF4003, UF4004, UF4005, UF4006, UF4007 (Vishay) - 3

FabricanteVishay
DescripciónUltrafast Plastic Rectifier
Páginas / Página5 / 3 — UF4001,. UF4002,. UF4003,. UF4004,. UF4005,. UF4006,. UF4007. …
Formato / tamaño de archivoPDF / 73 Kb
Idioma del documentoInglés

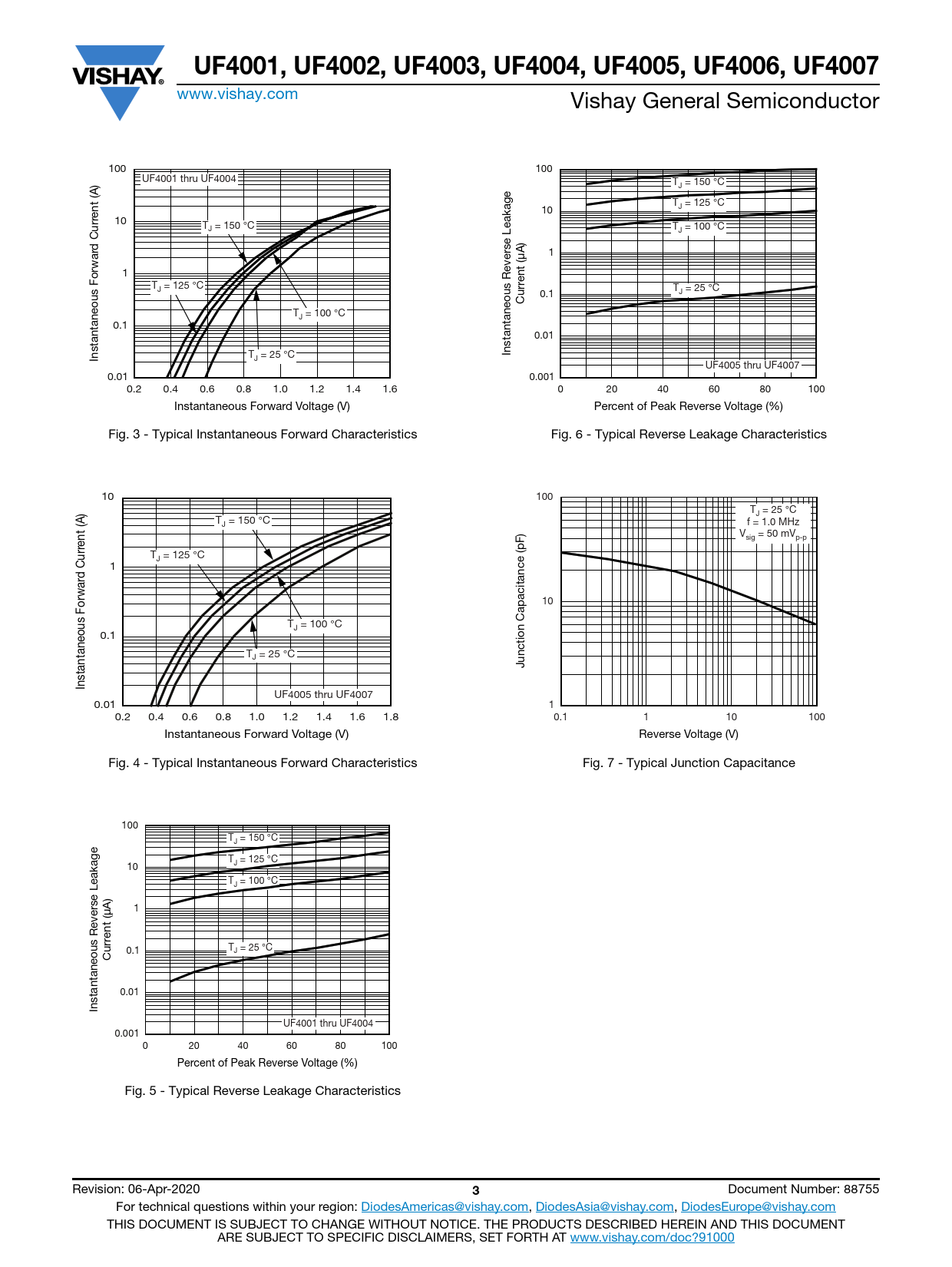
UF4001,. UF4002,. UF4003,. UF4004,. UF4005,. UF4006,. UF4007. www.vishay.com. Vishay. General. Semiconductor. 100. 100. UF4001. thru. UF4004. T. =. 150. °C. J. T

UF4001, UF4002, UF4003, UF4004, UF4005, UF4006, UF4007 www.vishay.com Vishay General Semiconductor 100 100 UF4001 thru UF4004 T = 150 °C J T

Línea de modelo para esta hoja de datos

Versión de texto del documento

UF4001, UF4002, UF4003, UF4004, UF4005, UF4006, UF4007 www.vishay.com Vishay General Semiconductor 100 100 UF4001 thru UF4004 T = 150 °C J T = 125 °C nt (A) J e 10 10 T = 150 °C J T = 100 °C J e Leakage d Curr s 1 1 Rever ent (μA) Forwar s s T = 125 °C J T = 25 °C 0.1 J Curr eou T = 100 °C J 0.1 tantaneou 0.01 tantan s s In In T = 25 °C J UF4005 thru UF4007 0.01 0.001 0.2 0.4 0.6 0.8 1.0 1.2 1.4 1.6 0 20 40 60 80 100 Instantaneous Forward Voltage (V) Percent of Peak Reverse Voltage (%) Fig. 3 - Typical Instantaneous Forward Characteristics Fig. 6 - Typical Reverse Leakage Characteristics 10 100 T = 25 °C J T = 150 °C J f = 1.0 MHz V = 50 mV ent (A) sig p-p T = 125 °C J 1 d Curr ance (pF) 10 Forwar s T = 100 °C J 0.1 T = 25 °C J Junction Capacit tantaneou s In UF4005 thru UF4007 0.01 1 0.2 0.4 0.6 0.8 1.0 1.2 1.4 1.6 1.8 0.1 1 10 100 Instantaneous Forward Voltage (V) Reverse Voltage (V) Fig. 4 - Typical Instantaneous Forward Characteristics Fig. 7 - Typical Junction Capacitance 100 T = 150 °C J T = 125 °C 10 J T = 100 °C J e Leakage s 1 Rever ent (μA) s 0.1 T = 25 °C J Curr tantaneou 0.01 s In UF4001 thru UF4004 0.001 0 20 40 60 80 100 Percent of Peak Reverse Voltage (%) Fig. 5 - Typical Reverse Leakage Characteristics Revision: 06-Apr-2020 3 Document Number: 88755 For technical questions within your region: DiodesAmericas@vishay.com, DiodesAsia@vishay.com, DiodesEurope@vishay.com THIS DOCUMENT IS SUBJECT TO CHANGE WITHOUT NOTICE. THE PRODUCTS DESCRIBED HEREIN AND THIS DOCUMENT ARE SUBJECT TO SPECIFIC DISCLAIMERS, SET FORTH AT www.vishay.com/doc?91000