Datasheet AD8634 (Analog Devices) - 9

FabricanteAnalog Devices
DescripciónHigh Temperature, Low Noise, RRO Dual Operational Amplifier
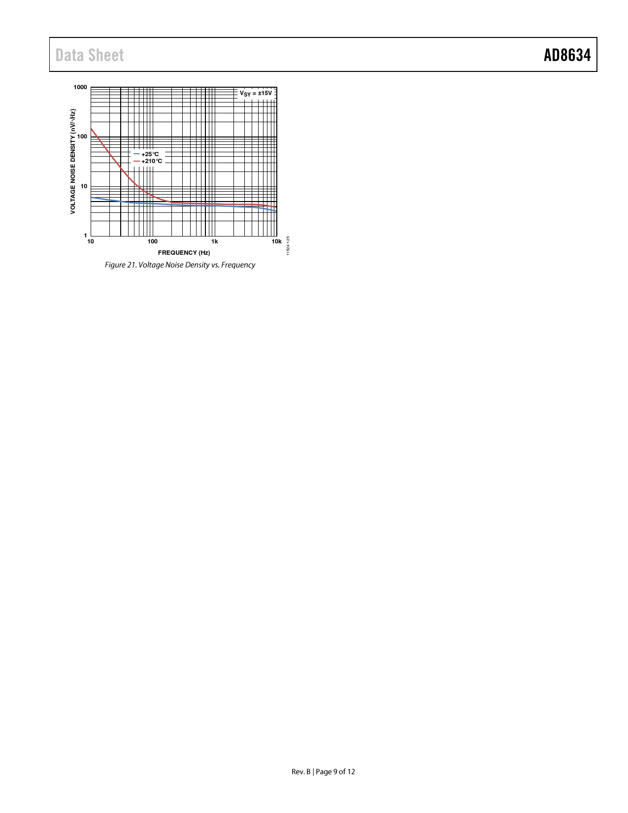
Páginas / Página12 / 9 — 1000. VSY = ±15V. z) √H V/ (n Y 100. T SI EN. +25°C. +210°C. ISE O N 10. …
RevisiónB
Formato / tamaño de archivoPDF / 1.2 Mb
Idioma del documentoInglés

1000. VSY = ±15V. z) √H V/ (n Y 100. T SI EN. +25°C. +210°C. ISE O N 10. E G A LT. 100. 10k. FREQUENCY (Hz)

1000 VSY = ±15V z) √H V/ (n Y 100 T SI EN +25°C +210°C ISE O N 10 E G A LT 100 10k FREQUENCY (Hz)

Línea de modelo para esta hoja de datos

Versión de texto del documento

1000 VSY = ±15V z) √H V/ (n Y 100 T SI EN +25°C D +210°C ISE O N 10 E G A LT VO 1
5
10 100 1k 10k
2 -1 4 2
FREQUENCY (Hz)
5 1 1 Document Outline FEATURES APPLICATIONS PIN CONFIGURATION GENERAL DESCRIPTION REVISION HISTORY SPECIFICATIONS ELECTRICAL CHARACTERISTICS, VSY = ±15.0 V ELECTRICAL CHARACTERISTICS, VSY = 3.0 V ABSOLUTE MAXIMUM RATINGS PREDICTED LIFETIME vs. OPERATING TEMPERATURE THERMAL RESISTANCE ESD CAUTION TYPICAL PERFORMANCE CHARACTERISTICS APPLICATIONS INFORMATION INPUT PROTECTION OUTLINE DIMENSIONS ORDERING GUIDE