Datasheet SSM2135 (Analog Devices) - 8
| Fabricante | Analog Devices |
| Descripción | Dual Single-Supply Audio Operational Amplifier |
| Páginas / Página | 16 / 8 — SSM2135. VS = 5V. 45 TA = 25°C. AV = +1. 35 RL = 10kΩ. f = 1kHz. 30 THD + … |
| Revisión | G |
| Formato / tamaño de archivo | PDF / 305 Kb |
| Idioma del documento | Inglés |
SSM2135. VS = 5V. 45 TA = 25°C. AV = +1. 35 RL = 10kΩ. f = 1kHz. 30 THD + N = 1%. TA = 25°C. AV = +100. AG T L. DANCE. E P. UT P. AV = +10. UT O. 100

Línea de modelo para esta hoja de datos
Versión de texto del documento
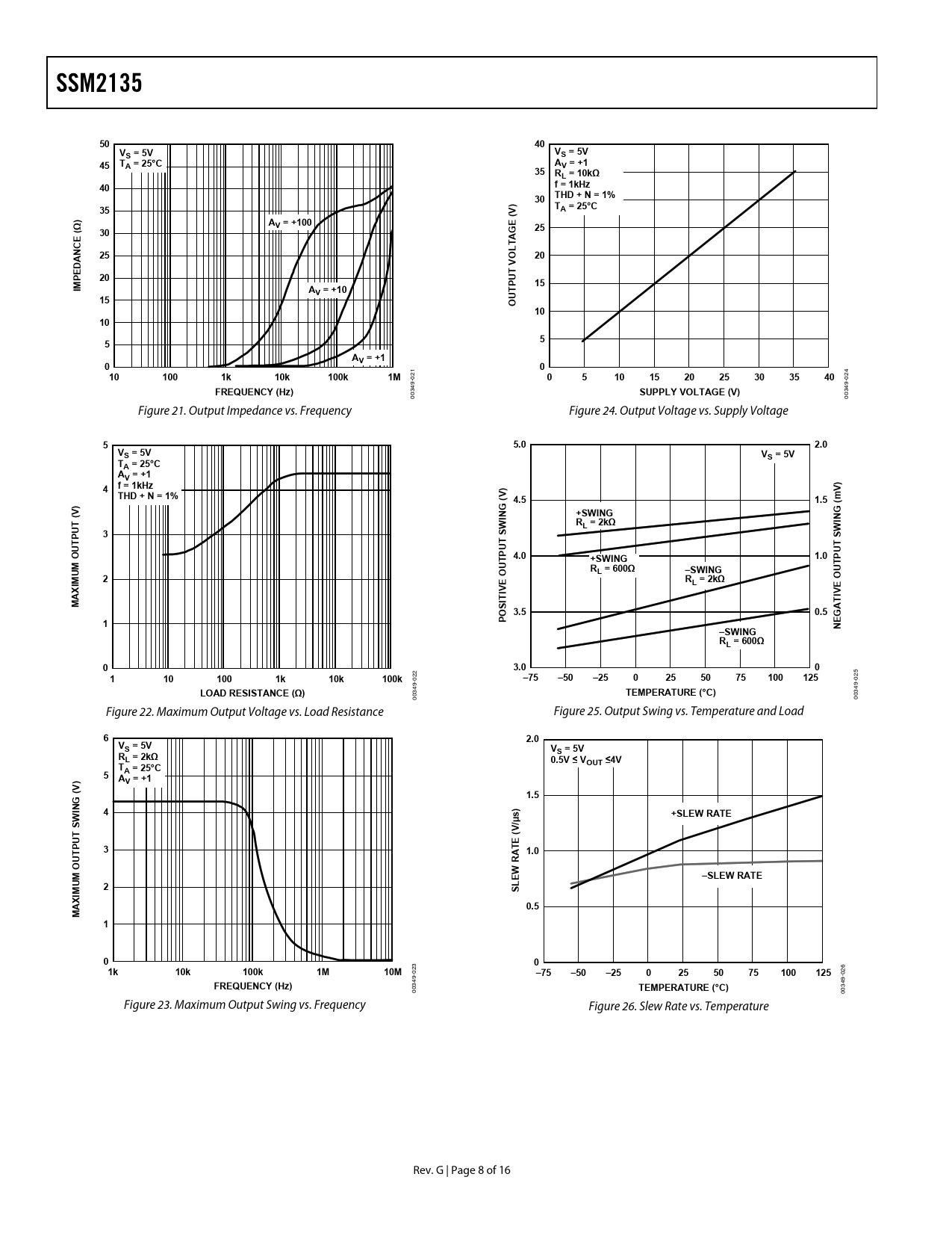
SSM2135 50 40 VS = 5V VS = 5V 45 TA = 25°C AV = +1 35 RL = 10kΩ 40 f = 1kHz 30 THD + N = 1% ) 35 V TA = 25°C ) ( AV = +100 E 25 (Ω 30 AG T L 25 O 20 DANCE V E P 20 UT P IM 15 AV = +10 15 UT O 10 10 5 5 AV = +1 0 0
1 4
10 100 1k 10k 100k 1M
02
0 5 10 15 20 25 30 35 40
02 9- 9-
FREQUENCY (Hz)
34
SUPPLY VOLTAGE (V)
34 00 00 Figure 21. Output Impedance vs. Frequency Figure 24. Output Voltage vs. Supply Voltage
5 5.0 2.0 VS = 5V VS = 5V TA = 25°C AV = +1 ) 4 f = 1kHz ) V THD + N = 1% (V 4.5 1.5 m ) G G ( (V IN +SWING T IN R U W L = 2kΩ W P 3 S S T T T U U P U 4.0 1.0 T P +SWING T M O R U L = 600Ω –SWING 2 OU R O IMU E L = 2kΩ E X V IV T MA ITI S O 3.5 0.5 GA 1 P E N –SWING RL = 600Ω 0 3.0 0
2
1 10 100 1k 10k 100k
25 02
–75 –50 –25 0 25 50 75 100 125
0 9- 9-
LOAD RESISTANCE (Ω)
34
TEMPERATURE (°C)
34 00 00 Figure 22. Maximum Output Voltage vs. Load Resistance Figure 25. Output Swing vs. Temperature and Load
6 2.0 VS = 5V V R S = 5V L = 2kΩ 0.5V ≤ V T OUT ≤4V 5 A = 25°C ) AV = +1 (V 1.5 G IN 4 +SLEW RATE W s) µ S V/ T U E ( P 3 T T A 1.0 U R M O EW –SLEW RATE 2 MU SL XI 0.5 MA 1 0
3
0 1k 10k 100k 1M 10M
02
–75 –50 –25 0 25 50 75 100 125
26 0 9- 9-
FREQUENCY (Hz)
34
TEMPERATURE (°C)
34 00 00 Figure 23. Maximum Output Swing vs. Frequency Figure 26. Slew Rate vs. Temperature Rev. G | Page 8 of 16 Document Outline FEATURES APPLICATIONS PIN CONNECTIONS GENERAL DESCRIPTION FUNCTIONAL BLOCK DIAGRAM TABLE OF CONTENTS REVISION HISTORY SPECIFICATIONS ABSOLUTE MAXIMUM RATINGS THERMAL RESISTANCE ESD CAUTION TYPICAL PERFORMANCE CHARACTERISTICS APPLICATIONS INFORMATION APPLICATION CIRCUITS Low Noise Stereo Headphone Driver Amplifier Low Noise Microphone Preamplifier Single Supply Differential Line Driver Single-Supply Differential Line Receiver Pseudoreference Voltage Generator Digital Volume Control Circuit Logarithmic Volume Control Circuit OUTLINE DIMENSIONS ORDERING GUIDE