Datasheet ADL5320 (Analog Devices) - 4
| Fabricante | Analog Devices |
| Descripción | 400 MHz TO 2700 MHz ¼ Watt RF Driver Amplifier |
| Páginas / Página | 20 / 4 — ADL5320. Data Sheet. TYPICAL SCATTERING PARAMETERS. Table 2. S11. S21. … |
| Revisión | B |
| Formato / tamaño de archivo | PDF / 919 Kb |
| Idioma del documento | Inglés |
ADL5320. Data Sheet. TYPICAL SCATTERING PARAMETERS. Table 2. S11. S21. S12. S22. Freq (MHz)

Línea de modelo para esta hoja de datos
Versión de texto del documento
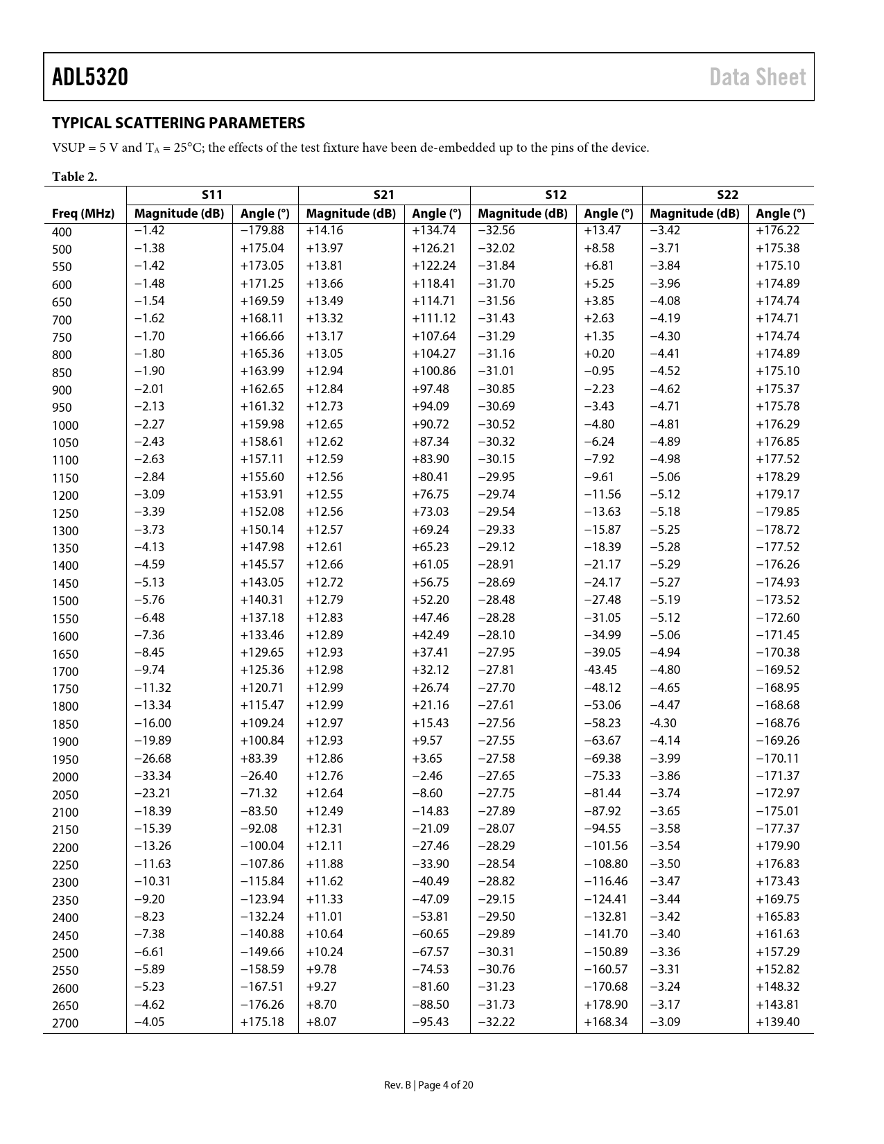
ADL5320 Data Sheet TYPICAL SCATTERING PARAMETERS
VSUP = 5 V and TA = 25°C; the effects of the test fixture have been de-embedded up to the pins of the device.
Table 2. S11 S21 S12 S22 Freq (MHz) Magnitude (dB) Angle (°) Magnitude (dB) Angle (°) Magnitude (dB) Angle (°) Magnitude (dB) Angle (°)
400 −1.42 −179.88 +14.16 +134.74 −32.56 +13.47 −3.42 +176.22 500 −1.38 +175.04 +13.97 +126.21 −32.02 +8.58 −3.71 +175.38 550 −1.42 +173.05 +13.81 +122.24 −31.84 +6.81 −3.84 +175.10 600 −1.48 +171.25 +13.66 +118.41 −31.70 +5.25 −3.96 +174.89 650 −1.54 +169.59 +13.49 +114.71 −31.56 +3.85 −4.08 +174.74 700 −1.62 +168.11 +13.32 +111.12 −31.43 +2.63 −4.19 +174.71 750 −1.70 +166.66 +13.17 +107.64 −31.29 +1.35 −4.30 +174.74 800 −1.80 +165.36 +13.05 +104.27 −31.16 +0.20 −4.41 +174.89 850 −1.90 +163.99 +12.94 +100.86 −31.01 −0.95 −4.52 +175.10 900 −2.01 +162.65 +12.84 +97.48 −30.85 −2.23 −4.62 +175.37 950 −2.13 +161.32 +12.73 +94.09 −30.69 −3.43 −4.71 +175.78 1000 −2.27 +159.98 +12.65 +90.72 −30.52 −4.80 −4.81 +176.29 1050 −2.43 +158.61 +12.62 +87.34 −30.32 −6.24 −4.89 +176.85 1100 −2.63 +157.11 +12.59 +83.90 −30.15 −7.92 −4.98 +177.52 1150 −2.84 +155.60 +12.56 +80.41 −29.95 −9.61 −5.06 +178.29 1200 −3.09 +153.91 +12.55 +76.75 −29.74 −11.56 −5.12 +179.17 1250 −3.39 +152.08 +12.56 +73.03 −29.54 −13.63 −5.18 −179.85 1300 −3.73 +150.14 +12.57 +69.24 −29.33 −15.87 −5.25 −178.72 1350 −4.13 +147.98 +12.61 +65.23 −29.12 −18.39 −5.28 −177.52 1400 −4.59 +145.57 +12.66 +61.05 −28.91 −21.17 −5.29 −176.26 1450 −5.13 +143.05 +12.72 +56.75 −28.69 −24.17 −5.27 −174.93 1500 −5.76 +140.31 +12.79 +52.20 −28.48 −27.48 −5.19 −173.52 1550 −6.48 +137.18 +12.83 +47.46 −28.28 −31.05 −5.12 −172.60 1600 −7.36 +133.46 +12.89 +42.49 −28.10 −34.99 −5.06 −171.45 1650 −8.45 +129.65 +12.93 +37.41 −27.95 −39.05 −4.94 −170.38 1700 −9.74 +125.36 +12.98 +32.12 −27.81 -43.45 −4.80 −169.52 1750 −11.32 +120.71 +12.99 +26.74 −27.70 −48.12 −4.65 −168.95 1800 −13.34 +115.47 +12.99 +21.16 −27.61 −53.06 −4.47 −168.68 1850 −16.00 +109.24 +12.97 +15.43 −27.56 −58.23 -4.30 −168.76 1900 −19.89 +100.84 +12.93 +9.57 −27.55 −63.67 −4.14 −169.26 1950 −26.68 +83.39 +12.86 +3.65 −27.58 −69.38 −3.99 −170.11 2000 −33.34 −26.40 +12.76 −2.46 −27.65 −75.33 −3.86 −171.37 2050 −23.21 −71.32 +12.64 −8.60 −27.75 −81.44 −3.74 −172.97 2100 −18.39 −83.50 +12.49 −14.83 −27.89 −87.92 −3.65 −175.01 2150 −15.39 −92.08 +12.31 −21.09 −28.07 −94.55 −3.58 −177.37 2200 −13.26 −100.04 +12.11 −27.46 −28.29 −101.56 −3.54 +179.90 2250 −11.63 −107.86 +11.88 −33.90 −28.54 −108.80 −3.50 +176.83 2300 −10.31 −115.84 +11.62 −40.49 −28.82 −116.46 −3.47 +173.43 2350 −9.20 −123.94 +11.33 −47.09 −29.15 −124.41 −3.44 +169.75 2400 −8.23 −132.24 +11.01 −53.81 −29.50 −132.81 −3.42 +165.83 2450 −7.38 −140.88 +10.64 −60.65 −29.89 −141.70 −3.40 +161.63 2500 −6.61 −149.66 +10.24 −67.57 −30.31 −150.89 −3.36 +157.29 2550 −5.89 −158.59 +9.78 −74.53 −30.76 −160.57 −3.31 +152.82 2600 −5.23 −167.51 +9.27 −81.60 −31.23 −170.68 −3.24 +148.32 2650 −4.62 −176.26 +8.70 −88.50 −31.73 +178.90 −3.17 +143.81 2700 −4.05 +175.18 +8.07 −95.43 −32.22 +168.34 −3.09 +139.40 Rev. B | Page 4 of 20 Document Outline Features Applications Functional Block Diagram General Description Table of Contents Revision History Specifications Typical Scattering Parameters Absolute Maximum Ratings Thermal Resistance ESD Caution Pin Configuration and Function Descriptions Typical Performance Characteristics High Temperature and 3.3 V Operation Applications Information Basic Layout Connections Soldering Information and Recommended PCB Land Pattern Matching Procedure Optimizing OP1dB W-CDMA ACPR Performance Evaluation Board Outline Dimensions Ordering Guide