https://www.rlocman.ru/i/File/2021/03/06/AD8273.pdf

/var/www/html/i/File/2021/03/06/AD8273.pdf

db_file_exists = 1 AD8273. 140. G = ½. –3.5V, +15.8V. POSITIVE PSRR. 120. S = ±5V. +3.5V, +8.8V. N (. 100. NEGATIVE PSRR. –1.0V, +6.2V. VS = ±2.5V. +1.0V, +4.2V. E D - Datasheet AD8273 Analog Devices, Revisión: B

Datasheet AD8273 (Analog Devices) - 7

FabricanteAnalog Devices
DescripciónVery Low Distortion, Dual-Channel, High Precision Difference Amplifier
Páginas / Página16 / 7 — AD8273. 140. G = ½. –3.5V, +15.8V. POSITIVE PSRR. 120. S = ±5V. +3.5V, …
RevisiónB
Formato / tamaño de archivoPDF / 331 Kb
Idioma del documentoInglés

AD8273. 140. G = ½. –3.5V, +15.8V. POSITIVE PSRR. 120. S = ±5V. +3.5V, +8.8V. N (. 100. NEGATIVE PSRR. –1.0V, +6.2V. VS = ±2.5V. +1.0V, +4.2V. E D

AD8273 140 G = ½ –3.5V, +15.8V POSITIVE PSRR 120 S = ±5V +3.5V, +8.8V N ( 100 NEGATIVE PSRR –1.0V, +6.2V VS = ±2.5V +1.0V, +4.2V E D

Línea de modelo para esta hoja de datos

Versión de texto del documento

AD8273 20 140 G = ½ –3.5V, +15.8V POSITIVE PSRR ) 15 V V 120 ( S = ±5V ) E B G +3.5V, +8.8V d A 10 T N ( 100 NEGATIVE PSRR L –1.0V, +6.2V VS = ±2.5V IO VO 5 +1.0V, +4.2V CT E D JE 80 0 RE -MO Y N L 60 –1.0V, –4.0V P P –5 U MMO +1.0, –6.0V O R S C E 40 T –10 W PU O P IN 20 –15 –3.5V, –8.7V +3.5V, –15.5V –20 0 –4 –3 –2 –1 0 1 2 3 4
44 0 21
1 10 100 1k 10k 100k 1M
1- 0
OUTPUT VOLTAGE (V)
1- 98 98 06
FREQUENCY (Hz)
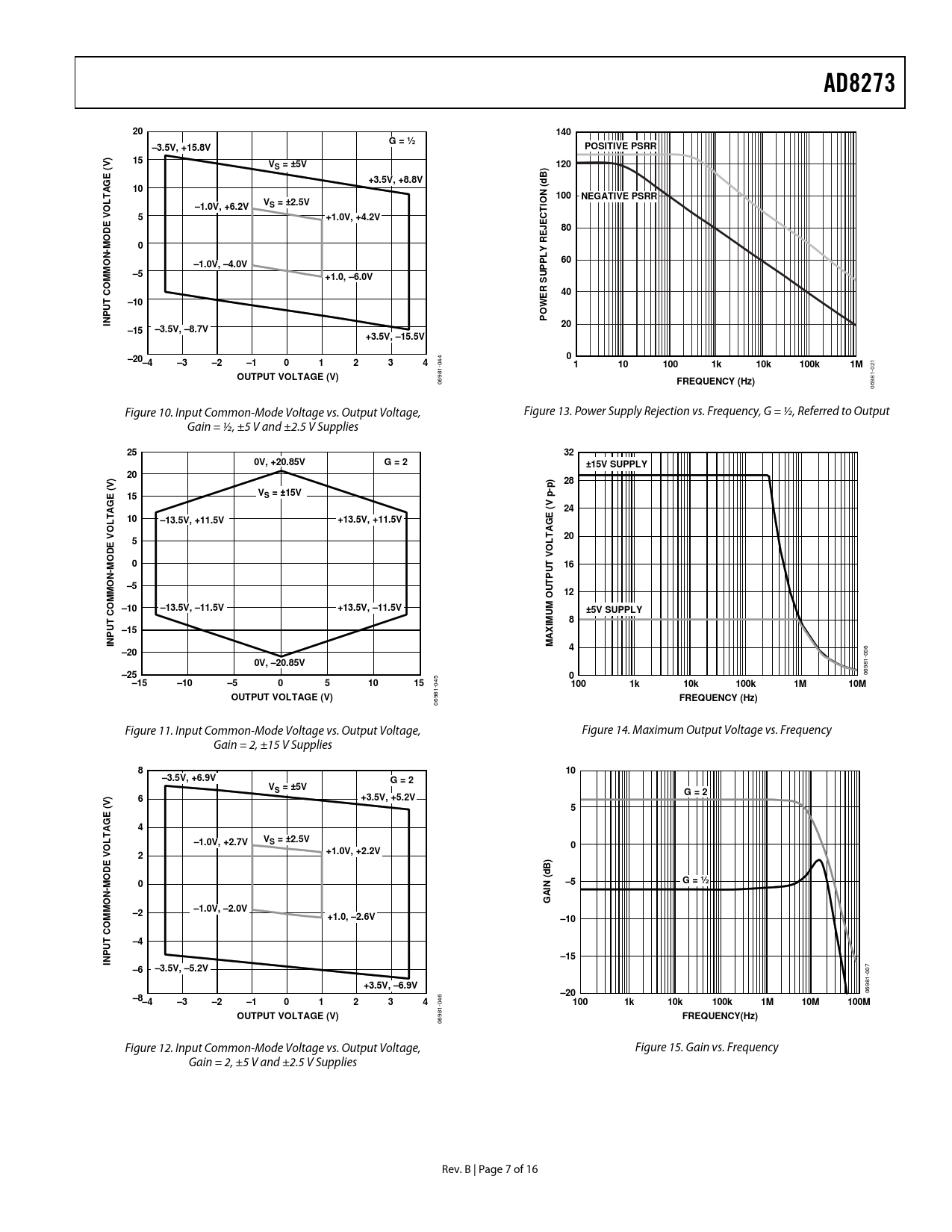
06 Figure 10. Input Common-Mode Voltage vs. Output Voltage, Figure 13. Power Supply Rejection vs. Frequency, G = ½, Referred to Output Gain = ½, ±5 V and ±2.5 V Supplies
25 32 0V, +20.85V G = 2 ±15V SUPPLY 20 ) 28 (V E 15 VS = ±15V p-p) G V A ( 24 T 10 E L –13.5V, +11.5V +13.5V, +11.5V G A 20 5 E VO LT D O O V 0 T 16 -M U N O TP –5 12 MM OU O –10 –13.5V, –11.5V +13.5V, –11.5V M ±5V SUPPLY C U T 8 IM –15 X PU A IN M 4 –20
06 0
0V, –20.85V
1- 98
–25
06 5
0 –15 –10 –5 0 5 10 15
04
100 1k 10k 100k 1M 10M
1-
OUTPUT VOLTAGE (V)
98
FREQUENCY (Hz)
06 Figure 11. Input Common-Mode Voltage vs. Output Voltage, Figure 14. Maximum Output Voltage vs. Frequency Gain = 2, ±15 V Supplies
8 10 –3.5V, +6.9V G = 2 VS = ±5V G = 2 ) 6 +3.5V, +5.2V V ( 5 E G A 4 T L –1.0V, +2.7V VS = ±2.5V 0 +1.0V, +2.2V VO 2 E ) D B d ( 0 –5 G = ½ -MO IN N GA –2 –1.0V, –2.0V MMO +1.0, –2.6V –10 O C T –4 PU –15 IN
7
–6 –3.5V, –5.2V
00 1-
+3.5V, –6.9V
98
–20
06
–8–4 –3 –2 –1 0 1 2 3 4
46 0
100 1k 10k 100k 1M 10M 100M
1-
OUTPUT VOLTAGE (V)
98
FREQUENCY(Hz)
06 Figure 12. Input Common-Mode Voltage vs. Output Voltage, Figure 15. Gain vs. Frequency Gain = 2, ±5 V and ±2.5 V Supplies Rev. B | Page 7 of 16 Document Outline FEATURES APPLICATIONS FUNCTIONAL BLOCK DIAGRAM GENERAL DESCRIPTION TABLE OF CONTENTS REVISION HISTORY SPECIFICATIONS ABSOLUTE MAXIMUM RATINGS MAXIMUM POWER DISSIPATION ESD CAUTION PIN CONFIGURATION AND FUNCTION DESCRIPTIONS TYPICAL PERFORMANCE CHARACTERISTICS THEORY OF OPERATION CONFIGURATIONS POWER SUPPLIES OUTLINE DIMENSIONS ORDERING GUIDE