Datasheet AD629 (Analog Devices) - 6

FabricanteAnalog Devices
DescripciónHigh Common-Mode Voltage, Difference Amplifier
Páginas / Página16 / 6 — AD629. TYPICAL PERFORMANCE CHARACTERISTICS. 100. 400. ) B. 360. TA = …
RevisiónC
Formato / tamaño de archivoPDF / 413 Kb
Idioma del documentoInglés

AD629. TYPICAL PERFORMANCE CHARACTERISTICS. 100. 400. ) B. 360. TA = +25°C. O (. 320. 280. ION. A = +85°C. LTAG. 240. O V. TA = –40°C. JE E. 200. 160. N O. 120

AD629 TYPICAL PERFORMANCE CHARACTERISTICS 100 400 ) B 360 TA = +25°C O ( 320 280 ION A = +85°C LTAG 240 O V TA = –40°C JE E 200 160 N O 120

Línea de modelo para esta hoja de datos

Versión de texto del documento

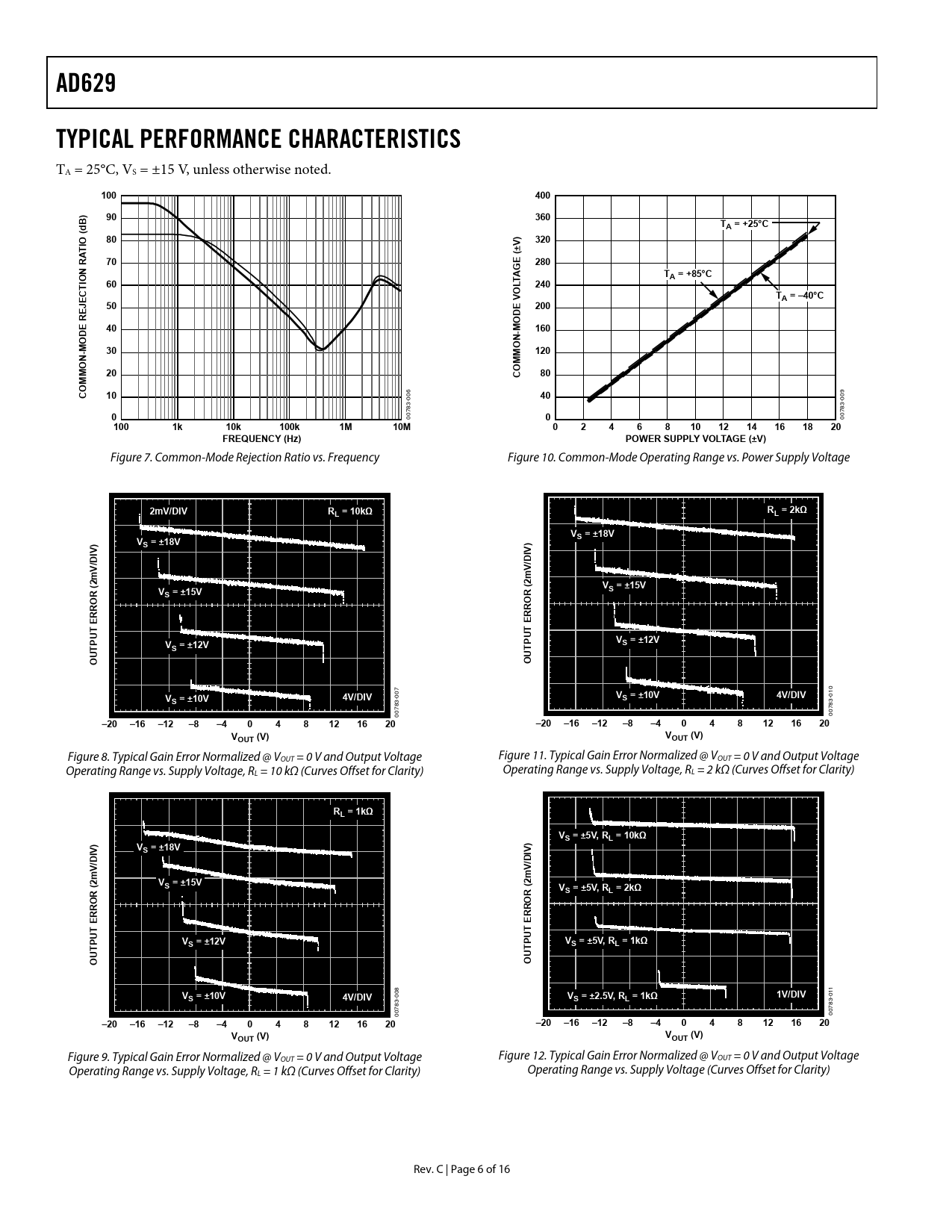
AD629 TYPICAL PERFORMANCE CHARACTERISTICS
TA = 25°C, VS = ±15 V, unless otherwise noted.
100 400 ) B 90 360 d TA = +25°C O ( 80 ) 320 TI ±V A ( R 70 E 280 T ION A = +85°C T 60 LTAG 240 C O V TA = –40°C JE E 50 200 DE R O E 40 -M 160 OD N O -M 30 M 120 M ON M 20 CO 80 OM C 10
06
40
09 0 0 3- 3- 78 78
0
00
0
00
100 1k 10k 100k 1M 10M 0 2 4 6 8 10 12 14 16 18 20 FREQUENCY (Hz) POWER SUPPLY VOLTAGE (±V)
Figure 7. Common-Mode Rejection Ratio vs. Frequency Figure 10. Common-Mode Operating Range vs. Power Supply Voltage
2mV/DIV RL = 10kΩ RL = 2kΩ VS = ±18V ) VS = ±18V ) IV IV /D /D V (2mV (2m VS = ±15V R VS = ±15V R O R RRO R E E T UT U P VS = ±12V T VS = ±12V TP U O OU
7 0 00
V 4V/DIV
01
V S = ±10V S = ±10V 4V/DIV
3- 3- 78 78 00 00
–20 –16 –12 –8 –4 0 4 8 12 16 20 –20 –16 –12 –8 –4 0 4 8 12 16 20 VOUT (V) V OUT (V)
Figure 8. Typical Gain Error Normalized @ VOUT = 0 V and Output Voltage Figure 11. Typical Gain Error Normalized @ VOUT = 0 V and Output Voltage Operating Range vs. Supply Voltage, RL = 10 kΩ (Curves Offset for Clarity) Operating Range vs. Supply Voltage, RL = 2 kΩ (Curves Offset for Clarity)
RL = 1kΩ VS = ±5V, RL = 10kΩ ) V ) IV S = ±18V IV /D /D (2mV VS = ±15V (2mV V R R S = ±5V, RL = 2kΩ RRO RRO E E UT UT P V P V T S = ±12V T S = ±5V, RL = 1kΩ U U O O
8 1 1 00
VS = ±10V 4V/DIV
0
V
3-
S = ±2.5V, RL = 1kΩ 1V/DIV
3- 78 78 00 00
–20 –16 –12 –8 –4 0 4 8 12 16 20 –20 –16 –12 –8 –4 0 4 8 12 16 20 VOUT (V) V OUT (V)
Figure 9. Typical Gain Error Normalized @ VOUT = 0 V and Output Voltage Figure 12. Typical Gain Error Normalized @ VOUT = 0 V and Output Voltage Operating Range vs. Supply Voltage, RL = 1 kΩ (Curves Offset for Clarity) Operating Range vs. Supply Voltage (Curves Offset for Clarity) Rev. C | Page 6 of 16 Document Outline FEATURES APPLICATIONS FUNCTIONAL BLOCK DIAGRAM GENERAL DESCRIPTION TABLE OF CONTENTS REVISION HISTORY SPECIFICATIONS ABSOLUTE MAXIMUM RATINGS ESD CAUTION PIN CONFIGURATION AND FUNCTION DESCRIPTIONS TYPICAL PERFORMANCE CHARACTERISTICS THEORY OF OPERATION APPLICATIONS BASIC CONNECTIONS SINGLE-SUPPLY OPERATION SYSTEM-LEVEL DECOUPLING AND GROUNDING USING A LARGE SENSE RESISTOR OUTPUT FILTERING OUTPUT CURRENT AND BUFFERING A GAIN OF 19 DIFFERENTIAL AMPLIFIER ERROR BUDGET ANALYSIS EXAMPLE 1 ERROR BUDGET ANALYSIS EXAMPLE 2 OUTLINE DIMENSIONS ORDERING GUIDE