Hojas de datos
Más
Only-Datasheet.com
Sobre nosotros
Cooperación
Publicidad
Contactos
en - English
ru - Русский
de - Deutsch
zh - 中文
Buscar
Hojas de datos
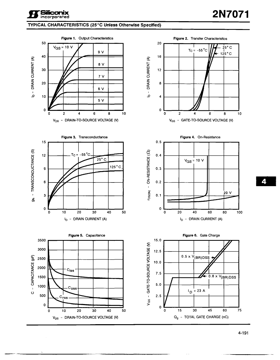
Datasheet 2N7071 (Siliconix)
Datasheet 2N7071 (Siliconix) - 3
Fabricante
Siliconix
Descripción
N-Channel Enhancement Mode Transistor
Páginas / Página
4
/
3
Formato / tamaño de archivo
PDF
/
111 Kb
Idioma del documento
Inglés
1
2
3
4
Descargar PDF
1
2
3
4
Línea de modelo para esta hoja de datos
2N7071
Contactos
Política de privacidad
Cambiar la configuración de privacidad