Datasheet ESDAxxSCx (STMicroelectronics) - 4

FabricanteSTMicroelectronics
DescripciónQuad Transil array for ESD protection
Páginas / Página9 / 4 — Characteristics. ESDAxxSCx. Figure 7. Relative variation of leakage …
Formato / tamaño de archivoPDF / 313 Kb
Idioma del documentoInglés

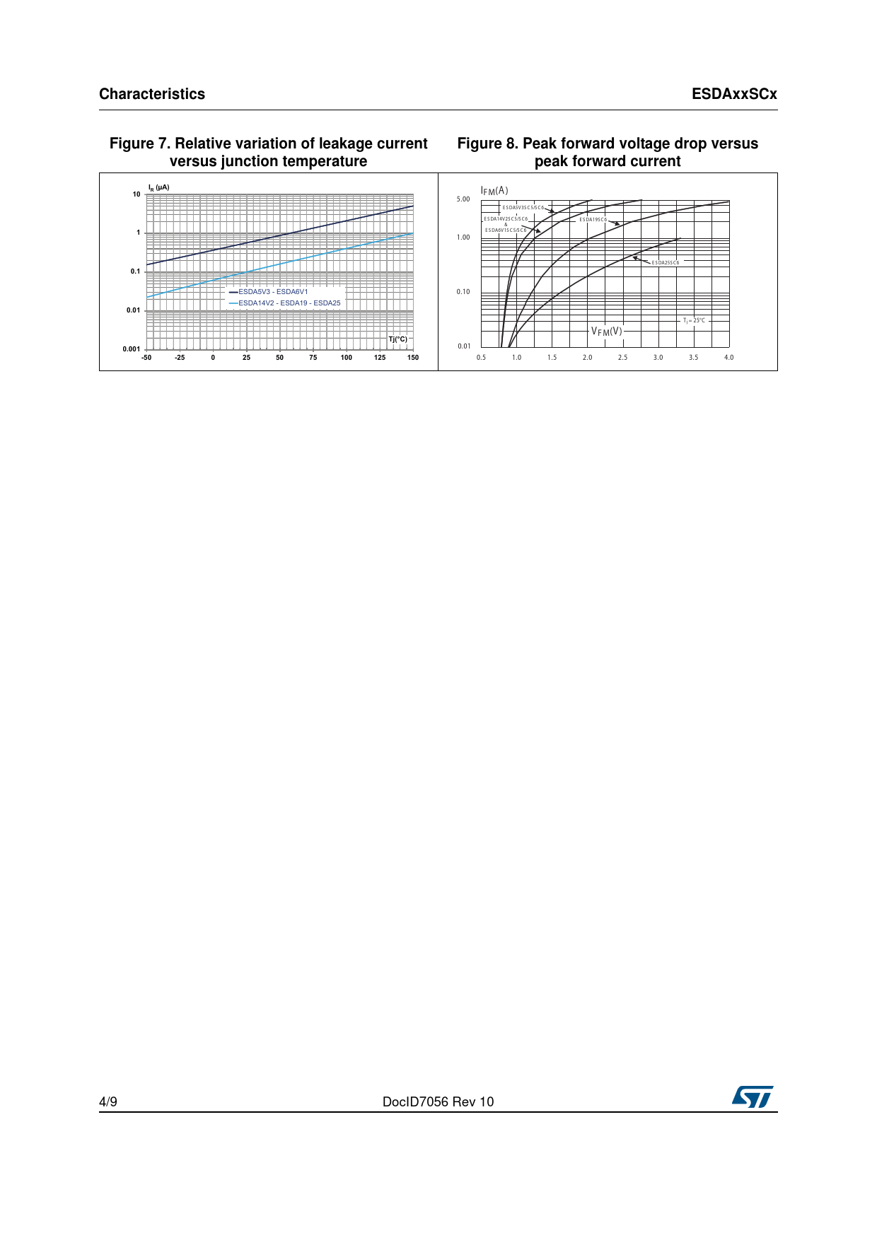
Characteristics. ESDAxxSCx. Figure 7. Relative variation of leakage current. Figure 8. Peak forward voltage drop versus

Characteristics ESDAxxSCx Figure 7 Relative variation of leakage current Figure 8 Peak forward voltage drop versus

Línea de modelo para esta hoja de datos

Versión de texto del documento

Characteristics ESDAxxSCx Figure 7. Relative variation of leakage current Figure 8. Peak forward voltage drop versus versus junction temperature peak forward current I 10 R (µA) IFM(A)
5.00 E S DA5V 3S C 5/S C 6 E S DA14V 2S C 5/S C 6 E S DA19S C 6 &
1
E S DA6V 1S C 5/S C 6 1.00 E S DA25S C 6
0.1
ESDA5V3 - ESDA6V1 0.10 ESDA14V2 - ESDA19 - ESDA25
0.01
T j = 25°C
V FM(V) Tj(°C) 0.001
0.01
-50 -25 0 25 50 75 100 125 150
0.5 1.0 1.5 2.0 2.5 3.0 3.5 4.0 4/9 DocID7056 Rev 10 Document Outline Figure 1. ESDAxxSC5 functional diagram Figure 2. ESDAxxSC6 functional diagram Table 1. Device summary 1 Characteristics Table 2. Absolute ratings (Tamb = 25 °C) Table 3. Electrical characteristics - definitions (Tamb = 25 °C) Table 4. Electrical characteristics - values (Tamb = 25 °C) Figure 3. Peak power dissipation versus initial junction temperature Figure 4. Peak pulse power versus exponential pulse duration (Tj initial = 25 °C) Figure 5. Clamping voltage versus peak pulse current (Tj initial = 25 °C). Rectangular waveform tp = 2.5 µs Figure 6. Capacitance versus reverse applied voltage Figure 7. Relative variation of leakage current versus junction temperature Figure 8. Peak forward voltage drop versus peak forward current 2 Ordering information Figure 9. Ordering information scheme 3 Package information Table 5. SOT23-5L dimensions Figure 10. SOT23-5L footprint (dimensions in mm) Table 6. SOT23-6L dimensions Figure 11. SOT23-6L footprint (dimensions in mm) 4 Ordering information Table 7. Ordering information 5 Revision history Table 8. Document revision history