Datasheet 2SB1548, 2SB1548A (Panasonic) - 2

FabricantePanasonic
DescripciónSilicon PNP Epitaxial Planar Type
Páginas / Página2 / 2 — Power. Transistors. 2SB1548,. 2SB1548A. PC. —. Ta. IC. —. VCE. IC. —. …
Formato / tamaño de archivoPDF / 59 Kb
Idioma del documentoInglés

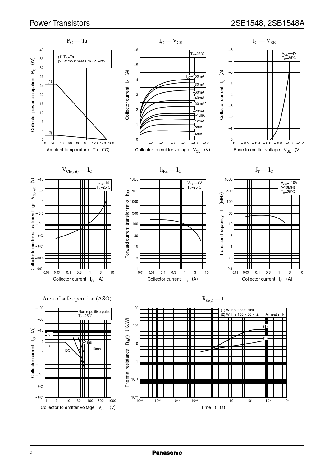
Power. Transistors. 2SB1548,. 2SB1548A. PC. —. Ta. IC. —. VCE. IC. —. VBE. 40. –6. –8. T. =25˚C. V. =–4V. C. CE. (1). T. =Ta. ). 36. C. T. =25˚C. C. (2). Without. heat. sink. (P. =2W). –7. C. (W. –5

Power Transistors 2SB1548, 2SB1548A PC — Ta IC — VCE IC — VBE 40 –6 –8 T =25˚C V =–4V C CE (1) T =Ta ) 36 C T =25˚C C (2) Without heat sink (P =2W) –7 C (W –5

Línea de modelo para esta hoja de datos

Versión de texto del documento

Power Transistors 2SB1548, 2SB1548A PC — Ta IC — VCE IC — VBE 40 –6 –8 T =25˚C V =–4V C CE (1) T =Ta ) 36 C T =25˚C C (2) Without heat sink (P =2W) –7 C (W –5 32 C ) (A –6 (A 28 I =–100mA B (1) C –4 C –5 24 –80mA –60mA 20 –3 –4 –40mA 16 –30mA –3 –2 12 –20mA –16mA Collector current I –2 Collector current I 8 –12mA –1 –8mA Collector power dissipation P –1 4 (2) –4mA 0 0 0 0 20 40 60 80 100 120 140 160 0 –2 –4 –6 –8 –10 –12 0 – 0.2 – 0.4 – 0.6 – 0.8 –1.0 –1.2 Ambient temperature Ta (˚C) Collector to emitter voltage V (V) Base to emitter voltage V (V) CE BE VCE(sat) — IC hFE — IC fT — IC ) –10 10000 1000 (V I /I =10 V =–4V V =–10V C B CE CE T =25˚C T =25˚C f=10MHz C C –3 3000 FE 300 T =25˚C ) C CE(sat) –1 1000 100 (MHz T – 0.3 300 30 – 0.1 100 10 – 0.03 30 3 – 0.01 10 1 Transition frequency f – 0.003 Forward current transfer ratio h 3 0.3 Collector to emitter saturation voltage V – 0.001 1 0.1 – 0.01 – 0.03 – 0.1 – 0.3 –1 –3 –10 – 0.01 – 0.03 – 0.1 – 0.3 –1 –3 –10 – 0.01 – 0.03 – 0.1 – 0.3 –1 –3 –10 Collector current I (A) Collector current I (A) Collector current I (A) C C C Area of safe operation (ASO) Rth(t) — t –100 103 Non repetitive pulse (1) Without heat sink T =25˚C (2) With a 100 × 80 × t2mm Al heat sink C ) –30 ) 102 (1) –10 (˚C/W (A ICP C (t) (2) –3 th t=1ms I 10 C 10ms DC –1 1 – 0.3 – 0.1 Collector current I 10–1 – 0.03 Thermal resistance R – 0.01 10–2 –1 –3 –10 –30 –100 –300 –1000 10–4 10–3 10–1 10–2 1 10 103 102 104 Collector to emitter voltage V (V) Time t (s) CE 2