Datasheet IXRFD630 (IXYS) - 4

FabricanteIXYS
Descripción30 A Low-Side RF MOSFET Driver
Páginas / Página8 / 4 — IXRFD630
Formato / tamaño de archivoPDF / 262 Kb
Idioma del documentoInglés

IXRFD630

IXRFD630

Línea de modelo para esta hoja de datos

Versión de texto del documento

30 A Low-Side RF MOSFET Driver
IXRFD630
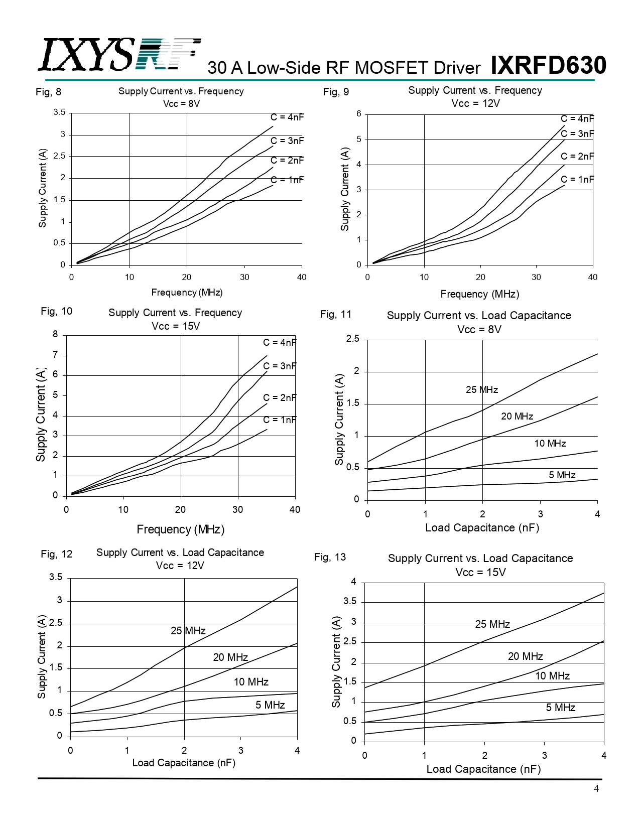
Fig, 8 Supply Current vs. Frequency Fig, 9 Supply Current vs. Frequency Vcc = 8V Vcc = 12V 3.5 6 C = 4nF C = 4nF 3 C = 3nF 5 C = 3nF ) 2.5 C = 2nF t (A) C = 2nF t (A 4 n n 2 rre C = 1nF rre C = 1nF u u 3 C C 1.5 ly ly p p p 2 p u 1 u S S 1 0.5 0 0 0 10 20 30 40 0 10 20 30 40 Frequency (MHz) Frequency (MHz) Fig, 10 Supply Current vs. Frequency Fig, 11 Supply Current vs. Load Capacitance Vcc = 15V Vcc = 8V 8 2.5 C = 4nF 7 ) C = 3nF 2 6 ) t (A n t (A 25 MHz 5 C = 2nF n 1.5 rre u rre 4 C = 1nF u 20 MHz C C ly 3 1 p ly p p 10 MHz u p 2 u S S 0.5 1 5 MHz 0 0 0 10 20 30 40 0 1 2 3 4 Frequency (MHz) Load Capacitance (nF) Fig, 12 Supply Current vs. Load Capacitance Fig, 13 Supply Current vs. Load Capacitance Vcc = 12V Vcc = 15V 3.5 4 3 3.5 ) 2.5 3 25 MHz t (A 25 MHz n t (A n 2 2.5 rre u 20 MHz rre 20 MHz C u 2 1.5 ly C p 10 MHz p 10 MHz ly 1.5 u p 1 S p u 5 MHz 1 S 5 MHz 0.5 0.5 0 0 0 1 2 3 4 0 1 2 3 4 Load Capacitance (nF) Load Capacitance (nF) 4