Datasheet TMR130 (MDT) - 8
| Fabricante | MDT |
| Descripción | MicroAmpere High Frequency Response Omnipolar Magnetic Switch Sensor |
| Páginas / Página | 12 / 8 — TMR130x |
| Formato / tamaño de archivo | PDF / 1.7 Mb |
| Idioma del documento | Inglés |
TMR130x

Línea de modelo para esta hoja de datos
Versión de texto del documento
TMR130x
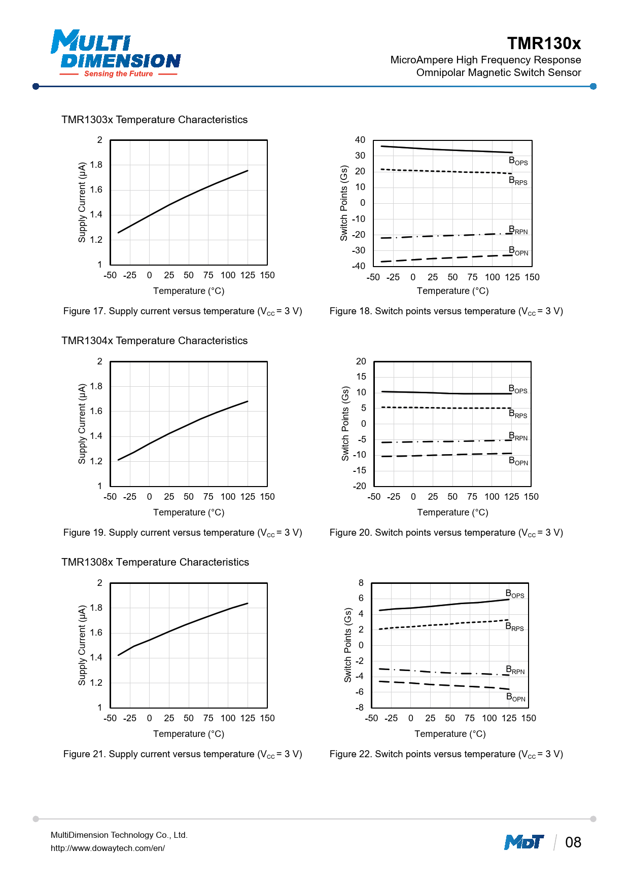
MicroAmpere High Frequency Response Omnipolar Magnetic Switch Sensor TMR1303x Temperature Characteristics 2 40 30 1.8 BOPS s) ( 20 μA)t B n RPS e 1.6 10 rru 0 C y 1.4 lp -10 p itch Points (G u BRPN S 1.2 -20 Sw -30 BOPN 1 -40 -50 -25 0 25 50 75 100 125 150 -50 -25 0 25 50 75 100 125 150 Temperature (°C) Temperature (°C) Figure 17. Supply current versus temperature (VCC = 3 V) Figure 18. Switch points versus temperature (VCC = 3 V) TMR1304x Temperature Characteristics 2 20 15 1.8 s) BOPS ( 10 μA)tne 1.6 5 rr BRPS u 0 C y 1.4 l BRPN p -5 p itch Points (G u -10 S 1.2 Sw BOPN -15 1 -20 -50 -25 0 25 50 75 100 125 150 -50 -25 0 25 50 75 100 125 150 Temperature (°C) Temperature (°C) Figure 19. Supply current versus temperature (VCC = 3 V) Figure 20. Switch points versus temperature (VCC = 3 V) TMR1308x Temperature Characteristics 2 8 6 BOPS 1.8 s) ( 4 μA)tn B e 1.6 s (G 2 RPS rru 0 C y 1.4 lp -2 p itch Point B u -4 RPN S 1.2 Sw -6 BOPN 1 -8 -50 -25 0 25 50 75 100 125 150 -50 -25 0 25 50 75 100 125 150 Temperature (°C) Temperature (°C) Figure 21. Supply current versus temperature (VCC = 3 V) Figure 22. Switch points versus temperature (VCC = 3 V) MultiDimension Technology Co., Ltd. http://www.dowaytech.com/en/ 08 Document Outline 1. Functional Block Diagram 2. Switching Characteristics 3. Pin Configuration 4. Absolute Maximum Ratings 5. Electrical Specifications 6. Magnetic Specifications 7. Typical Supply Voltage Characteristics 8. Typical Temperature Characteristics 9. Application Information 10. Dimensions