Datasheet AOTF10B65M2 (Alpha & Omega) - 4

FabricanteAlpha & Omega
Descripción650V, 10A Alpha IGBT With Soft And Fast Recovery Anti-Parallel Diode
Páginas / Página9 / 4 — AOTF10B65M2. TYPICAL ELECTRICAL AND THERMAL CHARACTERISTICS. ) (V. (pF). …
Formato / tamaño de archivoPDF / 1.2 Mb
Idioma del documentoInglés

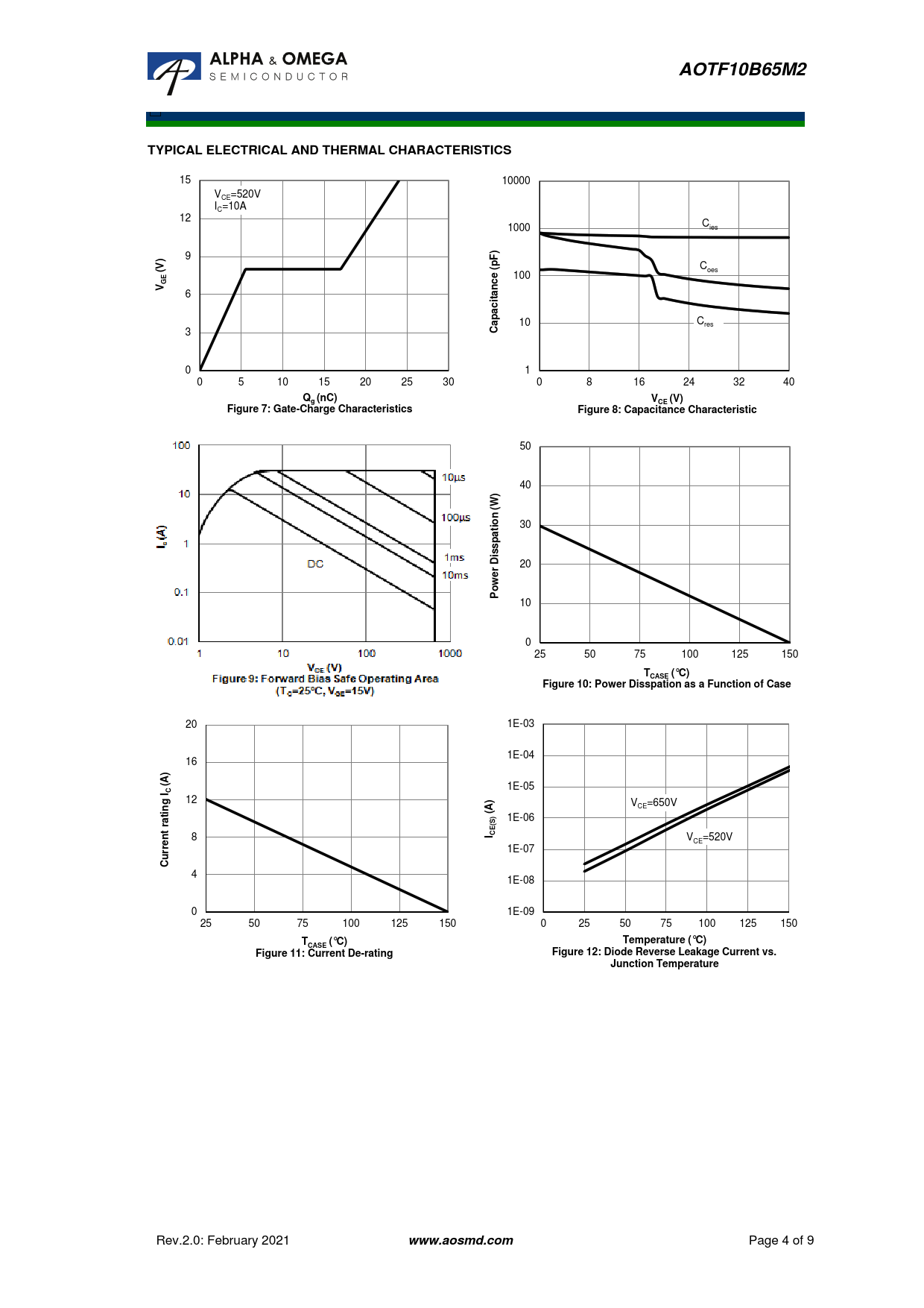
AOTF10B65M2. TYPICAL ELECTRICAL AND THERMAL CHARACTERISTICS. ) (V. (pF). a it c pa a. Q (nC). (V)

AOTF10B65M2 TYPICAL ELECTRICAL AND THERMAL CHARACTERISTICS ) (V (pF) a it c pa a Q (nC) (V)

Línea de modelo para esta hoja de datos

Versión de texto del documento

AOTF10B65M2

TYPICAL ELECTRICAL AND THERMAL CHARACTERISTICS
15 10000 V =520V CE I =10A C 12 1000 Cies 9
) (V
C
(pF)
oes
E e
100
GV nc
6
a it c pa a
10 Cres 3
C
0 1 0 5 10 15 20 25 30 0 8 16 24 32 40
Q (nC) g V (V) CE Figure 7: Gate-Charge Characteristics Figure 8: Capacitance Characteristic
50 40
) (W
30
tion pa s is D
20
r e Pow
10 0 25 50 75 100 125 150
T (°C) CASE Figure 10: Power Disspation as a Function of Case
20 1E-03 1E-04 16
) (A
1E-05
I C
12
g )
V =650V CE
in (A )
1E-06
rat (S
8
I CE
V =520V CE 1E-07
Current
4 1E-08 0 1E-09 25 50 75 100 125 150 0 25 50 75 100 125 150
T (°C) Temperature (°C) CASE Figure 11: Current De-rating Figure 12: Diode Reverse Leakage Current vs. Junction Temperature
Rev.2.0: February 2021
www.aosmd.com
Page 4 of 9