Datasheet IXGH32N170A (Littelfuse) - 4

FabricanteLittelfuse
DescripciónDisc IGBT NPT-Hi Voltage TO-247AD | Series: High Voltage
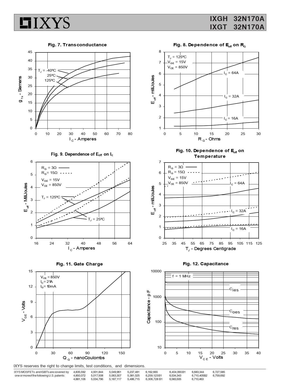
Páginas / Página6 / 4 — IXGH 32N170A IXGT 32N170A. Fig. 7. Transconductance. Fig. 8. Dependence …
Formato / tamaño de archivoPDF / 635 Kb
Idioma del documentoInglés

IXGH 32N170A IXGT 32N170A. Fig. 7. Transconductance. Fig. 8. Dependence of E on R. off. Fig. 10. Dependence of E on

IXGH 32N170A IXGT 32N170A Fig 7 Transconductance Fig 8 Dependence of E on R off Fig 10 Dependence of E on

Línea de modelo para esta hoja de datos

Versión de texto del documento

IXGH 32N170A IXGT 32N170A Fig. 7. Transconductance Fig. 8. Dependence of E on R off G
45 8 TJ = 125ºC 40 7 VGE = 15V 35 VCE = 850V TJ = -40ºC 6 IC = 64A 30 25ºC ens 125ºC oules 25 5 iem illiJ S - 20 - m 4 I f s ff C = 32A g o 15 E 3 10 2 5 IC = 16A 0 1 0 10 20 30 40 50 60 70 80 0 5 10 15 20 25 30 I - Amperes R - Ohms C G
Fig. 10. Dependence of E on Fig. 9. Dependence of E off off on Ic Tem perature
6 7 R R G = 3Ω G = 3Ω R 5 RG= 15Ω
- - - - -
6 G = 15Ω
- - - - -
V V GE = 15V GE = 15V V 5 VCE = 850V IC = 64A 4 CE = 850V oules oules 4 illiJ T 3 J = 125ºC M illiJ - f m 3 of - f E 2 of I E C = 32A 2 TJ = 25ºC 1 1 IC = 16A 0 0 16 24 32 40 48 56 64 25 35 45 55 65 75 85 95 105 115 125 I - Amperes C T - Degrees Centigrade J
Fig. 11. Gate Charge Fig. 12. Capacitance
15 10000 V f = 1 MHz CE = 850V IC = 21A 12 IG = 10mA F Cies p 1000 9 e - olts V itanc - Coes G E 6 V apac C 100 Cres 3 0 10 0 30 60 90 120 150 0 5 10 15 20 25 30 35 40 Q - nanoCoulombs V - Volts G C E IXYS reserves the right to change limits, test conditions, and dimensions. IXYS MOSFETs and IGBTs are covered by 4,835,592 4,931,844 5,049,961 5,237,481 6,162,665 6,404,065 B1 6,683,344 6,727,585 one or moreof the following U.S. patents: 4,850,072 5,017,508 5,063,307 5,381,025 6,259,123 B1 6,534,343 6,710,405B2 6,759,692 4,881,106 5,034,796 5,187,117 5,486,715 6,306,728 B1 6,583,505 6,710,463