Datasheet AD8671, AD8672, AD8674 (Analog Devices) - 7

FabricanteAnalog Devices
DescripciónPrecision Low Noise, Low Input Bias Current, Quad Op Amp
Páginas / Página20 / 7 — Data Sheet. AD8671/AD8672/AD8674. 4.0. 3.8. 3.6. 3.4. OSV. (mA). 3.2. I …
RevisiónF
Formato / tamaño de archivoPDF / 443 Kb
Idioma del documentoInglés

Data Sheet. AD8671/AD8672/AD8674. 4.0. 3.8. 3.6. 3.4. OSV. (mA). 3.2. I SY. 3.0. S = ±5V. VS = ±15V. 2.8. 2.6. VS = ±5V. 2.4. –40. 125. TEMPERATURE (°C). 5.0

Data Sheet AD8671/AD8672/AD8674 4.0 3.8 3.6 3.4 OSV (mA) 3.2 I SY 3.0 S = ±5V VS = ±15V 2.8 2.6 VS = ±5V 2.4 –40 125 TEMPERATURE (°C) 5.0

Línea de modelo para esta hoja de datos

Versión de texto del documento

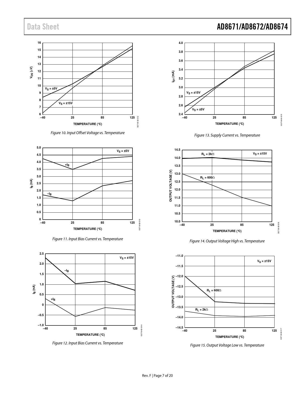
Data Sheet AD8671/AD8672/AD8674 16 4.0 15 3.8 14 3.6 13
µ
V) 3.4 12 ( OSV 11 (mA) 3.2 I SY 10 V 3.0 S = ±5V 9 VS = ±15V 2.8 8 VS = ±15V 2.6 7 VS = ±5V 6 2.4 –40 25 85 125 –40 25 85 125 TEMPERATURE (°C) TEMPERATURE (°C)
03718-B-015 03718-B-012 Figure 10. Input Offset Voltage vs. Temperature Figure 13. Supply Current vs. Temperature
5.0 V 14.5 S = ±5V 4.5 R V L = 2k

S = ±15V 14.0 4.0 +IB 13.5 3.5 13.0 3.0 RL = 600

12.5 2.5 (nA) I B 2.0 12.0 –IB 1.5 11.5 OUTPUT VOLTAGE (V) 1.0 11.0 0.5 10.5 0 –40 25 85 125 10.0 –40 25 85 125 TEMPERATURE (°C)
03718-B-013
TEMPERATURE (°C)
03718-B-016 Figure 11. Input Bias Current vs. Temperature Figure 14. Output Voltage High vs. Temperature
2.5 –11.0 VS = ±15V VS = ±15V 2.0 –11.5 –IB 1.5 –12.0 1.0 –12.5 (nA) RL = 600

I B 0.5 –13.0 +IB 0 OUTPUT VOLTAGE (V) –13.5 RL = 2k

–0.5 –14.0 –1.0 –40 25 85 125 –14.5 –40 25 85 125 TEMPERATURE (°C)
03718-B-014
TEMPERATURE (°C)
03718-B-017 Figure 12. Input Bias Current vs. Temperature Figure 15. Output Voltage Low vs. Temperature Rev. F | Page 7 of 20 Document Outline Specifications Electrical Characteristics, ±5.0 V Electrical Characteristics, ±15 V Absolute Maximum Ratings ESD Caution Typical Performance Characteristics Applications Power Dissipation Calculations Unity-Gain Follower Applications Output Phase Reversal Total Noise vs. Source Resistance Total Harmonic Distortion (THD) and Noise Driving Capacitive Loads GPS Receiver Band-Pass Filter PLL Synthesizers and Loop Filters Outline Dimensions Ordering Guide