Datasheet AD8601, AD8602, AD8604 (Analog Devices) - 8

FabricanteAnalog Devices
DescripciónPrecision CMOS, Single-Supply, Rail-to-Rail, Input/Output Wideband Operational Amplifiers
Páginas / Página24 / 8 — AD8601/AD8602/AD8604. 10k. VS = 5V. VS = 2.7V. TA = 25°C. (m E. E (. G …
RevisiónG
Formato / tamaño de archivoPDF / 352 Kb
Idioma del documentoInglés

AD8601/AD8602/AD8604. 10k. VS = 5V. VS = 2.7V. TA = 25°C. (m E. E (. G 100. SOURCE. VOH @ 1mA LOAD. SINK. U P. 0.1. 0.001. 0.01. 100. –40. –25. –10. 110. 125

AD8601/AD8602/AD8604 10k VS = 5V VS = 2.7V TA = 25°C (m E E ( G 100 SOURCE VOH @ 1mA LOAD SINK U P 0.1 0.001 0.01 100 –40 –25 –10 110 125

Línea de modelo para esta hoja de datos

Versión de texto del documento

AD8601/AD8602/AD8604 10k 35 VS = 5V VS = 2.7V TA = 25°C 30 1k V) V) 25 m (m E E ( G 100 G A A 20 T SOURCE T L L VOH @ 1mA LOAD VO SINK VO T 15 10 T U P PU T T U U O 10 O 1 5 0.1 0
0 17
0.001 0.01 0.1 1 10 100
0
–40 –25 –10 5 20 35 50 65 80 95 110 125
02 5- 5-
LOAD CURRENT (mA)
52
TEMPERATURE (°C)
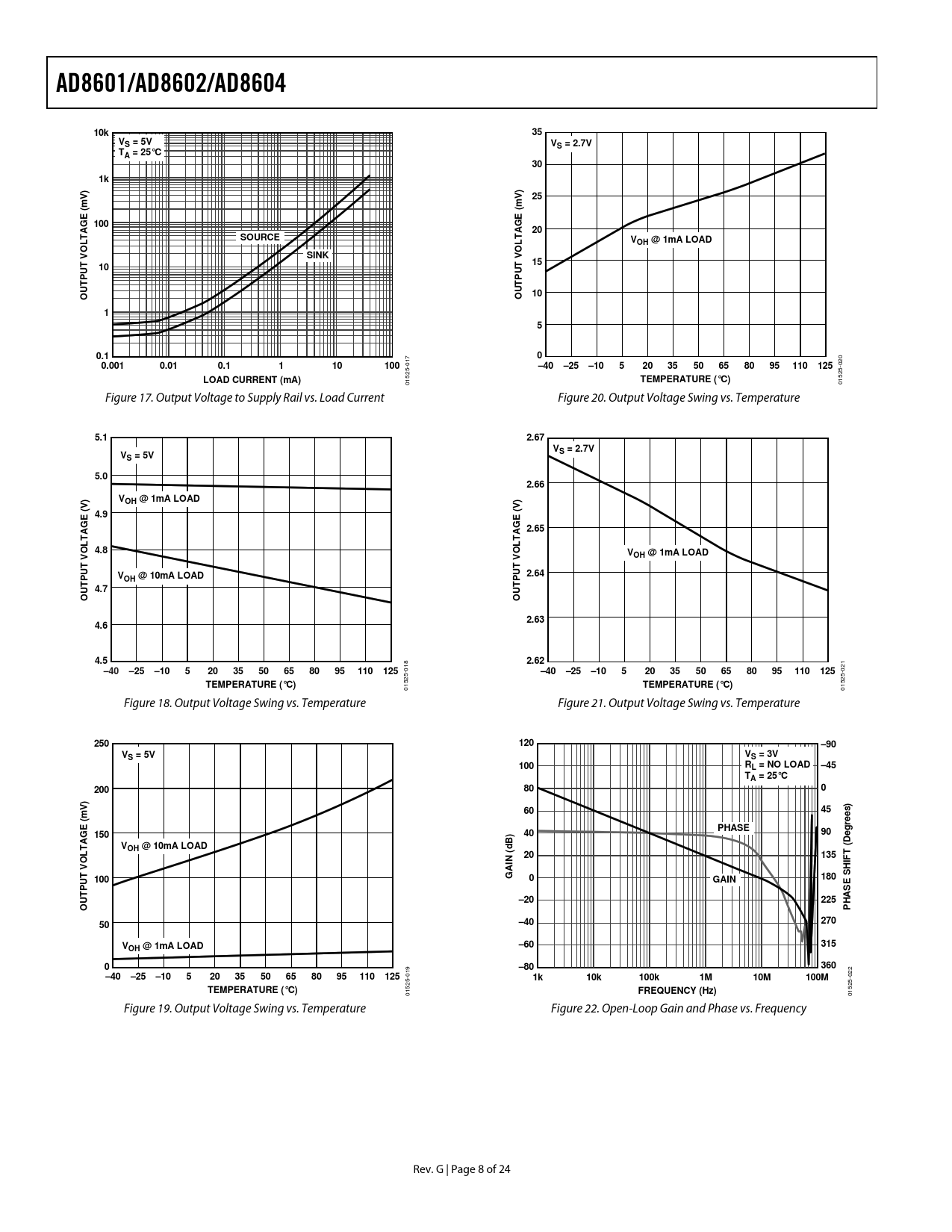
52 01 01 Figure 17. Output Voltage to Supply Rail vs. Load Current Figure 20. Output Voltage Swing vs. Temperature
5.1 2.67 V V S = 2.7V S = 5V 5.0 2.66 ) VOH @ 1mA LOAD ) V (V 4.9 ( E E G G A 2.65 A LT LT O 4.8 O V V OH @ 1mA LOAD T T V U V U 2.64 OH @ 10mA LOAD TP TP 4.7 U U O O 2.63 4.6 4.5
8
2.62
1
–40 –25 –10 5 20 35 50 65 80 95 110 125
01
–40 –25 –10 5 20 35 50 65 80 95 110 125
02 5- 5-
TEMPERATURE (°C)
52
TEMPERATURE (°C)
52 01 01 Figure 18. Output Voltage Swing vs. Temperature Figure 21. Output Voltage Swing vs. Temperature
250 120 –90 VS = 5V VS = 3V 100 RL = NO LOAD –45 TA = 25°C 200 80 0 V) 60 45 m rees) E ( PHASE G 150 ) 40 90 eg A B D T VOH @ 10mA LOAD d ( L ( 20 135 T IN IF VO H T 100 GA 0 180 S GAIN E PU T AS U –20 225 H O P –40 270 50 V –60 315 OH @ 1mA LOAD 0
9
–80 360
22
–40 –25 –10 5 20 35 50 65 80 95 110 125
01 0 5-
1k 10k 100k 1M 10M 100M
5-
TEMPERATURE (°C)
52
FREQUENCY (Hz)
52 01 01 Figure 19. Output Voltage Swing vs. Temperature Figure 22. Open-Loop Gain and Phase vs. Frequency Rev. G | Page 8 of 24 Document Outline FEATURES APPLICATIONS GENERAL DESCRIPTION PIN CONFIGURATIONS TABLE OF CONTENTS REVISION HISTORY SPECIFICATIONS ELECTRICAL CHARACTERISTICS ABSOLUTE MAXIMUM RATINGS THERMAL RESISTANCE ESD CAUTION TYPICAL PERFORMANCE CHARACTERISTICS THEORY OF OPERATION RAIL-TO-RAIL INPUT STAGE INPUT OVERVOLTAGE PROTECTION OVERDRIVE RECOVERY POWER-ON TIME USING THE AD8602 IN HIGH SOURCE IMPEDANCE APPLICATIONS HIGH SIDE AND LOW SIDE, PRECISION CURRENT MONITORING USING THE AD8601 IN SINGLE-SUPPLY, MIXED SIGNAL APPLICATIONS PC100 COMPLIANCE FOR COMPUTER AUDIO APPLICATIONS SPICE MODEL OUTLINE DIMENSIONS ORDERING GUIDE AUTOMOTIVE PRODUCTS