Datasheet ADL5534 (Analog Devices) - 9

FabricanteAnalog Devices
Descripción20 MHz TO 500 MHz IF Amplifier
Páginas / Página16 / 9 — Data Sheet. ADL5534. 115. 110. +85°C. 105. 100. mA). +25°C. ( NT. CURRE. …
RevisiónB
Formato / tamaño de archivoPDF / 435 Kb
Idioma del documentoInglés

Data Sheet. ADL5534. 115. 110. +85°C. 105. 100. mA). +25°C. ( NT. CURRE. –40°C. L P. UP S. OUT (dBm)

Data Sheet ADL5534 115 110 +85°C 105 100 mA) +25°C ( NT CURRE –40°C L P UP S OUT (dBm)

Línea de modelo para esta hoja de datos

Versión de texto del documento

Data Sheet ADL5534 115 110 +85°C 105 100 mA) +25°C 95 ( NT 90 85 CURRE 80 Y –40°C L P 75 UP S 70 65 60 55 –6 –4 –2 0 2 4 6 8 10 12 14 16 18 20 22
100
P OUT (dBm)
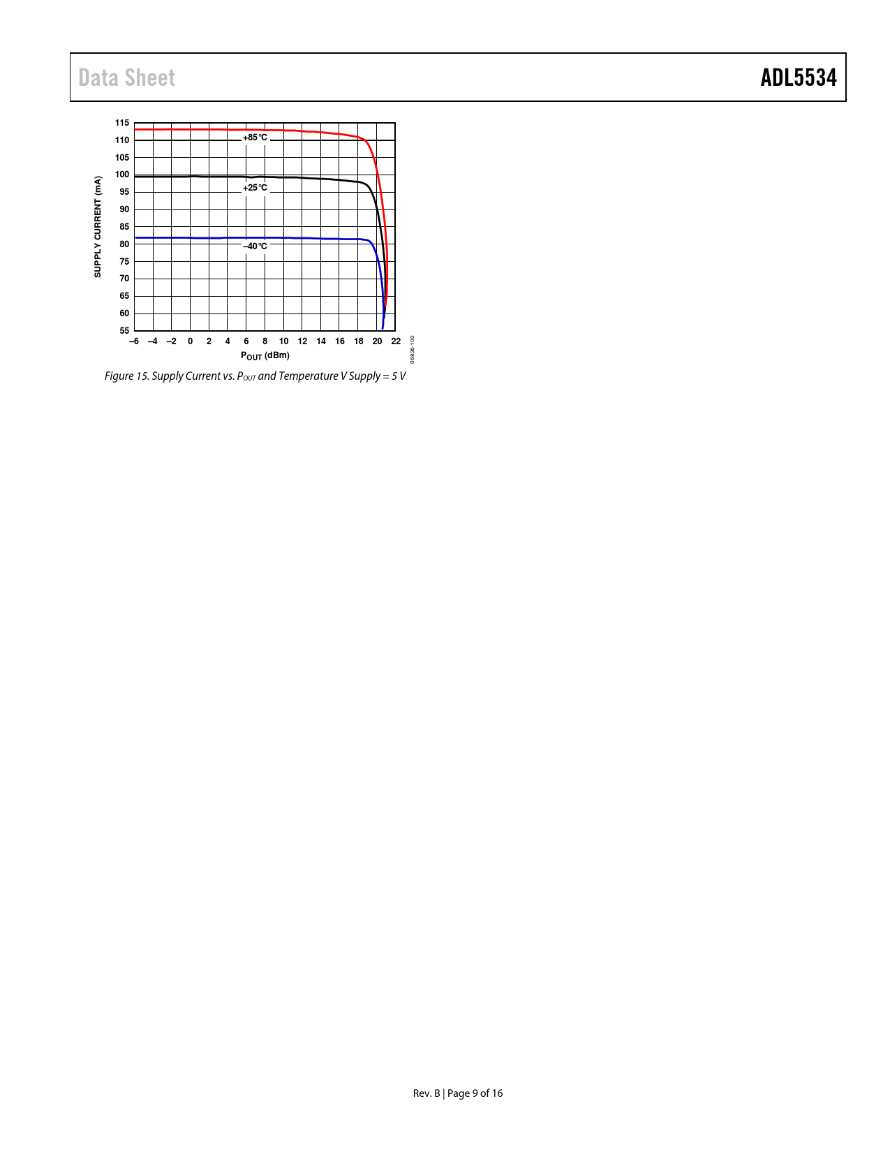
06836- Figure 15. Supply Current vs. POUT and Temperature V Supply = 5 V Rev. B | Page 9 of 16 Document Outline Features Functional Block Diagram General Description Table of Contents Revision History Specifications Typical Scattering Parameters Absolute Maximum Ratings ESD Caution Pin Configuration and Function Descriptions Typical Performance Characteristics Basic Connections Using Baluns to Combine Both Amplifiers into a Single Amplifier ADC Driving Application Soldering Information and Recommended PCB Land Pattern Evaluation Board Outline Dimensions Ordering Guide