Datasheet ADL5310 (Analog Devices) - 7

FabricanteAnalog Devices
Descripción120 dB RANGE (3 nA TO 3 mA) Dual Logarithmic Converter
Páginas / Página20 / 7 — Data Sheet. ADL5310. 1.8. 1.0. 1.6. 0.8. 3nA. 30nA. 1.4. 0.6. 300nA. 0.4. …
RevisiónB
Formato / tamaño de archivoPDF / 577 Kb
Idioma del documentoInglés

Data Sheet. ADL5310. 1.8. 1.0. 1.6. 0.8. 3nA. 30nA. 1.4. 0.6. 300nA. 0.4. 1.2. 300. 0.2. (V) 1.0. 3mA. LOG. V 0.8. –0.2. –0.4. ERROR (dB (10mV/dB)). –0.6. –0.8. –1.0

Data Sheet ADL5310 1.8 1.0 1.6 0.8 3nA 30nA 1.4 0.6 300nA 0.4 1.2 300 0.2 (V) 1.0 3mA LOG V 0.8 –0.2 –0.4 ERROR (dB (10mV/dB)) –0.6 –0.8 –1.0

Línea de modelo para esta hoja de datos

Versión de texto del documento

Data Sheet ADL5310 1.8 1.0 1.6 0.8 3nA 30nA 1.4 0.6 300nA 30
µ
A 0.4 1.2 3
µ
A 300
µ
A 0.2 (V) 1.0 3
µ
A 3mA LOG 0 V 0.8 3nA –0.2 3mA 0.6 3mA 30nA –0.4 ERROR (dB (10mV/dB)) 300nA 300
µ
A 0.4 3
µ
A –0.6 30
µ
A 0.2 –0.8 0 –1.0 1n 10n 100n 1
µ
10
µ
100
µ
1m 10m 1n 10n 100n 1
µ
10
µ
100
µ
1m 10m IREF (A)
04415-0-009
I REF (A)
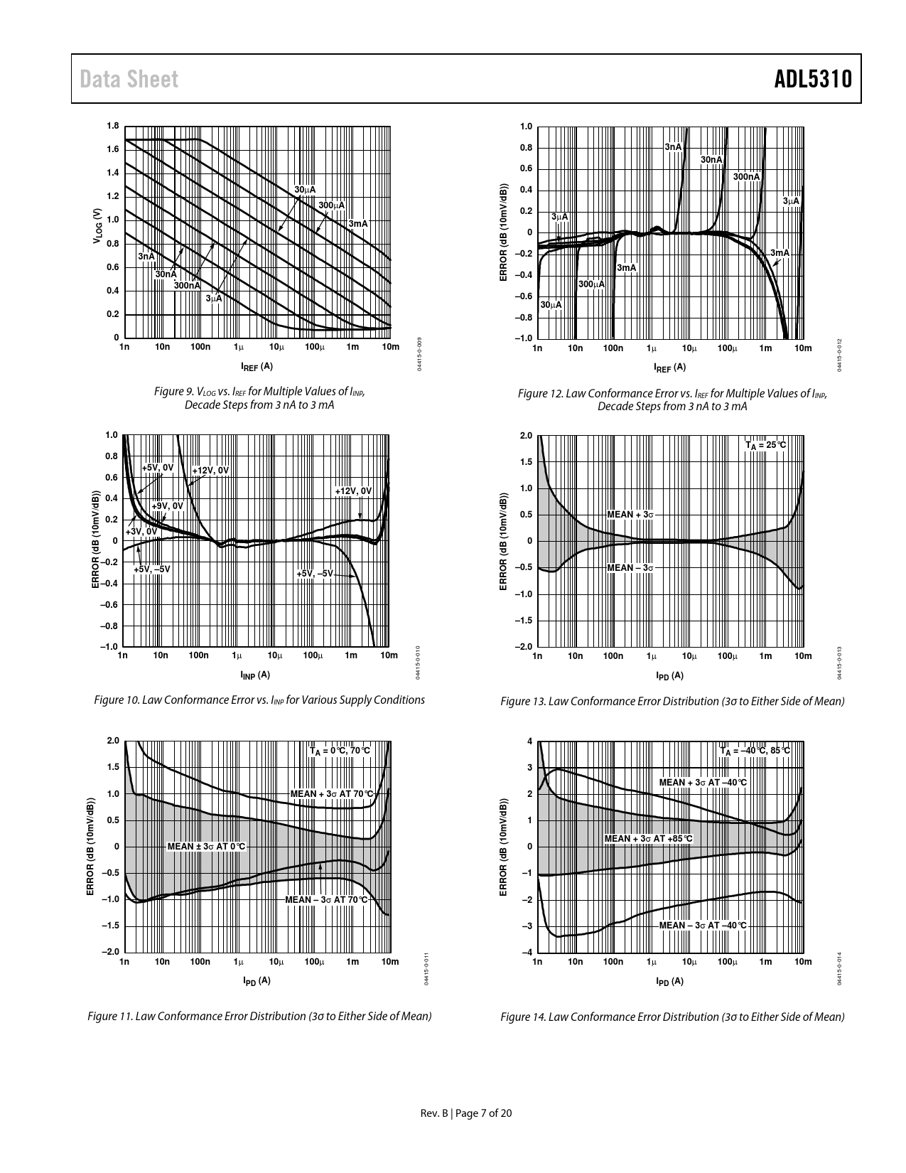
04415-0-012 Figure 9. VLOG vs. IREF for Multiple Values of IINP, Figure 12. Law Conformance Error vs. IREF for Multiple Values of IINP, Decade Steps from 3 nA to 3 mA Decade Steps from 3 nA to 3 mA
1.0 2.0 TA = 25°C 0.8 1.5 +5V, 0V +12V, 0V 0.6 +12V, 0V 1.0 0.4 +9V, 0V 0.5 MEAN + 3
σ
0.2 +3V, 0V 0 0 –0.2 +5V, –5V –0.5 MEAN – 3
σ
+5V, –5V –0.4 ERROR (dB (10mV/dB)) ERROR (dB (10mV/dB)) –1.0 –0.6 –1.5 –0.8 –1.0 –2.0 1n 10n 100n 1
µ
10
µ
100
µ
1m 10m 1n 10n 100n 1
µ
10
µ
100
µ
1m 10m IINP (A)
04415-0-010
IPD (A)
04415-0-013 Figure 10. Law Conformance Error vs. IINP for Various Supply Conditions Figure 13. Law Conformance Error Distribution (3σ to Either Side of Mean)
2.0 4 TA = 0°C, 70°C TA = –40°C, 85°C 1.5 3 MEAN + 3
σ
AT –40°C 1.0 MEAN + 3
σ
AT 70°C 2 0.5 1 MEAN + 3
σ
AT +85°C 0 MEAN ± 3
σ
AT 0°C 0 –0.5 –1 ERROR (dB (10mV/dB)) ERROR (dB (10mV/dB)) –1.0 MEAN – 3
σ
AT 70°C –2 –1.5 –3 MEAN – 3
σ
AT –40°C –2.0 –4 1n 10n 100n 1
µ
10
µ
100
µ
1m 10m 1n 10n 100n 1
µ
10
µ
100
µ
1m 10m IPD (A)
04415-0-011
IPD (A)
04415-0-014 Figure 11. Law Conformance Error Distribution (3σ to Either Side of Mean) Figure 14. Law Conformance Error Distribution (3σ to Either Side of Mean) Rev. B | Page 7 of 20 Document Outline FEATURES APPLICATIONS FUNCTIONAL BLOCK DIAGRAM GENERAL DESCRIPTION TABLE OF CONTENTS REVISION HISTORY SPECIFICATIONS ABSOLUTE MAXIMUM RATINGS ESD CAUTION PIN CONFIGURATION AND FUNCTION DESCRIPTIONS TYPICAL PERFORMANCE CHARACTERISTICS GENERAL STRUCTURE THEORY MANAGING INTERCEPT AND SLOPE RESPONSE TIME AND NOISE CONSIDERATIONS APPLICATIONS INFORMATION CALIBRATION MINIMIZING CROSSTALK RELATIVE AND ABSOLUTE POWER MEASUREMENTS CHARACTERIZATION METHODS EVALUATION BOARD OUTLINE DIMENSIONS ORDERING GUIDE