Datasheet AD8597, AD8599 (Analog Devices) - 9
| Fabricante | Analog Devices |
| Descripción | Ultralow Distortion, Ultralow Noise Op Amp (single) |
| Páginas / Página | 20 / 9 — Data Sheet. AD8597/AD8599. AD8599. VSY = ±5V. SY = ±15V. ISINK. ) 40. A … |
| Revisión | F |
| Formato / tamaño de archivo | PDF / 593 Kb |
| Idioma del documento | Inglés |
Data Sheet. AD8597/AD8599. AD8599. VSY = ±5V. SY = ±15V. ISINK. ) 40. A m. CURR. CURRE. P –20. O –40. ISOURCE. –60. –80. –50. –25. 100. 125. 150

Línea de modelo para esta hoja de datos
Versión de texto del documento
Data Sheet AD8597/AD8599 80 80 AD8599 AD8599 VSY = ±5V V 60 60 SY = ±15V ISINK ISINK 40 ) 40 A) A m (m ( 20 20 NT NT E 0 0 CURR CURRE UT UT P –20 P –20 UT UT O –40 O –40 ISOURCE ISOURCE –60 –60 –80
7
–80
8
–50 –25 0 25 50 75 100 125 150
01
–50 –25 0 25 50 75 100 125 150
01 4- 4-
TEMPERATURE (°C)
27
TEMPERATURE (°C)
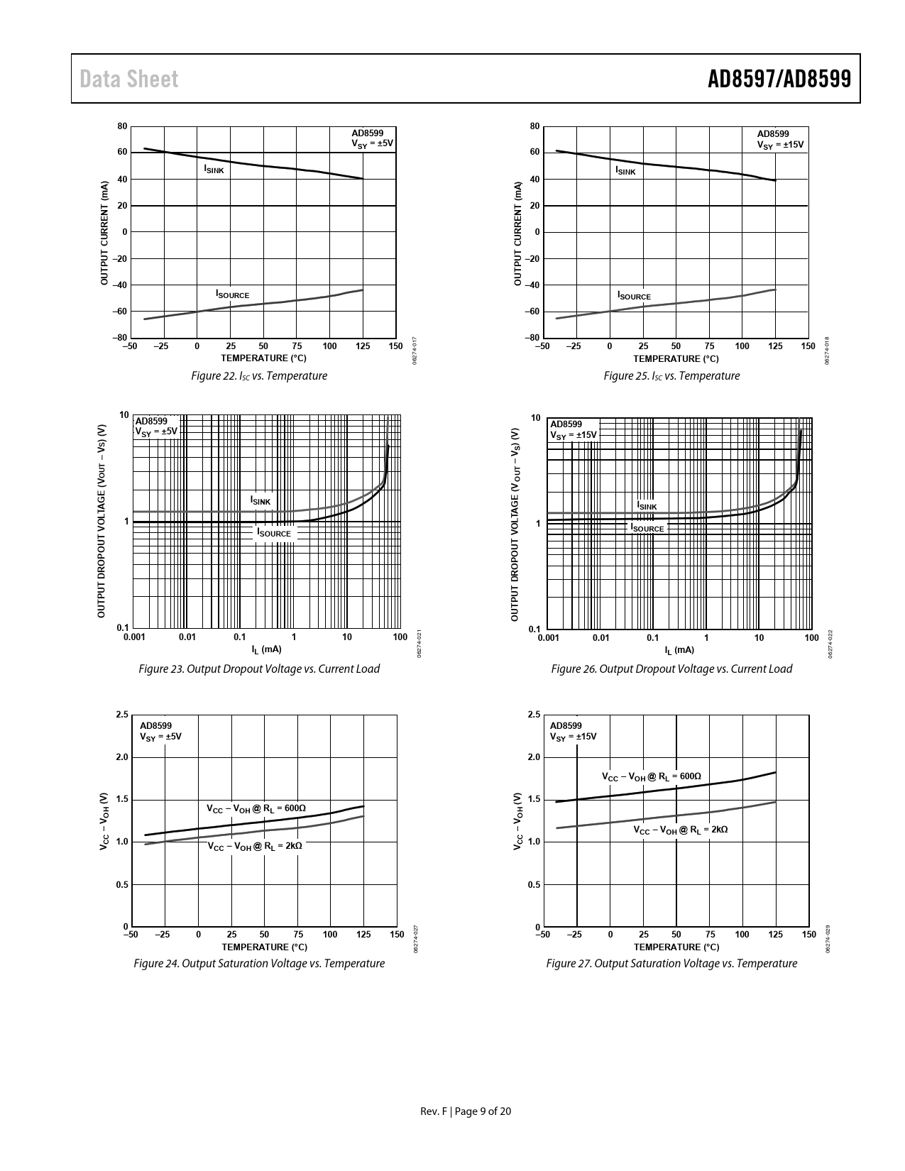
27 06 06 Figure 22. ISC vs. Temperature Figure 25. ISC vs. Temperature
10 10 ) AD8599 AD8599 V ) ) (V SY = ±5V V VSY = ±15V S ) ( V SV – T – T OU V OU ( V E ( I E SINK ISINK LTAG O 1 LTAG 1 I I O SOURCE T V SOURCE V OU UT O OP P R D T DRO U UT TP P T OU U O 0.1 0.1
2
0.001 0.01 0.1 1 10 100
021
0.001 0.01 0.1 1 10 100
02 4- 4-
IL (mA) IL (mA)
627 0627 0 Figure 23. Output Dropout Voltage vs. Current Load Figure 26. Output Dropout Voltage vs. Current Load
2.5 2.5 AD8599 AD8599 VSY = ±5V VSY = ±15V 2.0 2.0 VCC – VOH @ RL = 600Ω ) ) 1.5 (V 1.5 V (V CC – VOH @ RL = 600Ω OH OH V V – – VCC – VOH @ RL = 2kΩ CC 1.0 CC 1.0 V VCC – VOH @ RL = 2kΩ V 0.5 0.5 0
7
0
9
–50 –25 0 25 50 75 100 125 150
-02
–50 –25 0 25 50 75 100 125 150
-02 74 74
TEMPERATURE (°C)
62
TEMPERATURE (°C)
62 0 0 Figure 24. Output Saturation Voltage vs. Temperature Figure 27. Output Saturation Voltage vs. Temperature Rev. F | Page 9 of 20 Document Outline FEATURES APPLICATIONS PIN CONFIGURATIONS GENERAL DESCRIPTION REVISION HISTORY SPECIFICATIONS ABSOLUTE MAXIMUM RATINGS THERMAL RESISTANCE POWER SEQUENCING ESD CAUTION TYPICAL PERFORMANCE CHARACTERISTICS FUNCTIONAL OPERATION INPUT VOLTAGE RANGE OUTPUT PHASE REVERSAL NOISE AND SOURCE IMPEDANCE CONSIDERATIONS OUTLINE DIMENSIONS ORDERING GUIDE